М
Молодежь
К
Компьютеры-и-электроника
Д
Дом-и-сад
С
Стиль-и-уход-за-собой
П
Праздники-и-традиции
Т
Транспорт
П
Путешествия
С
Семейная-жизнь
Ф
Философия-и-религия
Б
Без категории
М
Мир-работы
Х
Хобби-и-рукоделие
И
Искусство-и-развлечения
В
Взаимоотношения
З
Здоровье
К
Кулинария-и-гостеприимство
Ф
Финансы-и-бизнес
П
Питомцы-и-животные
О
Образование
О
Образование-и-коммуникации
Shaxnoza2509
Shaxnoza2509
16.12.2021 02:52 •  Геометрия

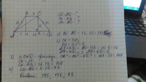
Боковая сторона ав равнобедренной трапеции авсд равна 13 ад=15 вс=5 отрезок ск-высота треугольника асд найти сд*да; ск*ав; св*ад ( , можно подробно описать)

👇
Ответ:
kivlad96
kivlad96
16.12.2021
Так как трапеция равнобедренная, то АВ=СД. Чтобы найти КД, проведём высоту ВН. Находим высоту по теореме Пифагора.
Боковая сторона ав равнобедренной трапеции авсд равна 13 ад=15 вс=5 отрезок ск-высота треугольника а
4,6(3 оценок)
Открыть все ответы
Ответ:
egorbroggo
egorbroggo
16.12.2021
1) По определению:
синусом острого угла прямоугольного треугольника называется отношение противолежащего катета к гипотенузе.
 sin (<A)= BC/AB
√5/3=BC/9  ⇒  BC=9·(√5)/3=3√5
По теореме Пифагора АС²=АВ²-ВС²=9²-(3√5)²=81-45=36
АС=6
ответ. АС=6
2) В равнобедренном треугольнике проведем высоту ВК, которая одновременно является и медианой, т. е делит сторону АС пополам. АК=КС.
Рассмотрим прямоугольный треугольник АВК.
По определению косинусом острого угла прямоугольного треугольника называется отношение прилежащего катета к гипотенузе.
cos (<A)=AK/AB
АК=АВ·сos (<A)=5·3/5=3
AC=2·AK=6
ответ. АС=6
4,4(63 оценок)
Ответ:
Littlelimegirl
Littlelimegirl
16.12.2021
1) п
Пусть х - длина, а у - ширина прямоугольника. Составляем систему уравнений
2х+2у=74
х•у=300
Выразим х через у.
х=300/у.
Подставим х в первое уравнение
2•(300/у) + 2у=74, сократим обе части уравнения на 2:
300/у + у=37, умножим обе части уравнения на у:
300+у^2=37у, или:
у^2 -37у+300=0
у1=[37+V(37^2-4•300)]/2=[37+V(1369-1200)]/2= [37+V169]/2=(37+13)/2=40:2=20 см
21=[37-V(37^2-4•300)]/2=[37-V(1369-1200)]/2= [37-V169]/2=(37-13)/2=24:2=12 см

Подставляем в х=300/у:
х1=300:20=15 см
х2=300:12=25 см
Проверка:
Р=2(15+20)=70 см - не подходит.
Р=2(25+12)=2•37=74 см
S=12•25=300 кв. см
4,8(58 оценок)
Это интересно:
Новые ответы от MOGZ: Геометрия
logo
Вход Регистрация
Что ты хочешь узнать?
Спроси Mozg
Открыть лучший ответ