М
Молодежь
К
Компьютеры-и-электроника
Д
Дом-и-сад
С
Стиль-и-уход-за-собой
П
Праздники-и-традиции
Т
Транспорт
П
Путешествия
С
Семейная-жизнь
Ф
Философия-и-религия
Б
Без категории
М
Мир-работы
Х
Хобби-и-рукоделие
И
Искусство-и-развлечения
В
Взаимоотношения
З
Здоровье
К
Кулинария-и-гостеприимство
Ф
Финансы-и-бизнес
П
Питомцы-и-животные
О
Образование
О
Образование-и-коммуникации
veta991
veta991
23.12.2020 10:19 •  Геометрия

Сторона правильного треугольника, вписанного в окружностью, равна a см. найдите площадь квадрата, описанного около данной окружности. ответ будет . решение поподробней .

👇
Ответ:
lenamarydina
lenamarydina
23.12.2020
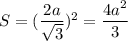
Радиус описанной около правильного треугольника окружности равен
\dfrac{a}{ \sqrt{3} }

Радиус вписанной в квадрат окружности равен половине его стороны, значит
a_k=2* \dfrac{a}{ \sqrt{3} }= \dfrac{2a }{ \sqrt{3} }

Площадь квадрата равна квадрату его стороны
S= (\dfrac{2a}{ \sqrt{3} })^2= \dfrac{4a^2}{3}

ответ: 4a^2/3
4,8(49 оценок)
Открыть все ответы
Ответ:
MoDeRFeeD3
MoDeRFeeD3
23.12.2020
1. возьмем за х-угол D, тогда
х+40-угол F,
х\3- угол E,
сумма углов в треугольнике 180 градусов.
составляем уровнение
х+х+40+х/3=180
избавляемся от дроби в уравнении,для этого домножаем все  на 3 
3х+3х+120+х=540
7х=420
х=60-это угол D
60+40=100-это угол F
60:3=20-это угол E
2. Решение: 180-120=60 - угол Z По теореме: напротив угла 30 градусов лежит сторона = половине гипотенузы. угол XYZ= 90-60=30, значит YX= 1/2YZ, YZ= 7×2=14 ответ: YZ=14см
3. Так как треугольник равнобедренный то угол K равен углу M
PA=PB по теореме о гипотенузе и остром углу
Делать нечего!)
4,8(25 оценок)
Ответ:
iiiiivvvv
iiiiivvvv
23.12.2020
1. возьмем за х-угол D, тогда
х+40-угол F,
х\3- угол E,
сумма углов в треугольнике 180 градусов.
составляем уровнение
х+х+40+х/3=180
избавляемся от дроби в уравнении,для этого домножаем все  на 3 
3х+3х+120+х=540
7х=420
х=60-это угол D
60+40=100-это угол F
60:3=20-это угол E
2. Решение: 180-120=60 - угол Z По теореме: напротив угла 30 градусов лежит сторона = половине гипотенузы. угол XYZ= 90-60=30, значит YX= 1/2YZ, YZ= 7×2=14 ответ: YZ=14см
3. Так как треугольник равнобедренный то угол K равен углу M
PA=PB по теореме о гипотенузе и остром углу
Делать нечего!)
4,6(72 оценок)
Это интересно:
Новые ответы от MOGZ: Геометрия
logo
Вход Регистрация
Что ты хочешь узнать?
Спроси Mozg
Открыть лучший ответ