М
Молодежь
К
Компьютеры-и-электроника
Д
Дом-и-сад
С
Стиль-и-уход-за-собой
П
Праздники-и-традиции
Т
Транспорт
П
Путешествия
С
Семейная-жизнь
Ф
Философия-и-религия
Б
Без категории
М
Мир-работы
Х
Хобби-и-рукоделие
И
Искусство-и-развлечения
В
Взаимоотношения
З
Здоровье
К
Кулинария-и-гостеприимство
Ф
Финансы-и-бизнес
П
Питомцы-и-животные
О
Образование
О
Образование-и-коммуникации
oligayaraya
oligayaraya
03.06.2022 15:18 •  Геометрия

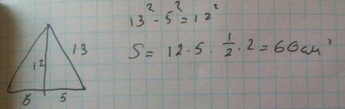
Найдите площадь осевого сечения конуса (в см^2 ), если образующая конуса равна 13 см, а диаметр основания равен 10 см.

👇
Ответ:
SonyaNexoda
SonyaNexoda
03.06.2022
Высота конуса, радиус и образующая образуют прямоугольный треугольник. Две площади которого являются площадью осевого сечения
Найдите площадь осевого сечения конуса (в см^2 ), если образующая конуса равна 13 см, а диаметр осно
4,7(76 оценок)
Открыть все ответы
Ответ:
uctni
uctni
03.06.2022
1. Угол 5 смежный с углом 6, значит угол 6 = 180градусов - 124градуса = 56градусов. 
Углы 6 и 7 - вертикальные, а значит угол 7 = 56градусов.
Углы 5 и 8 - вертикальные, а значит угол 8 = 124градуса.
Из того, что прямые a и b параллельны, следует:
Углы 5 и 1 - соответственные, а значит угол 1 = 124градуса.
Углы 5 и 3 - внутренние односторонние, а значит угол 3 = 180градусов - 124градуса = 56 градусов.
Углы 5 и 4 - внутренние накрест лежащие, а значит угол 4 = 124градуса.
Углы 6 и 2 - соответственные, а значит угол 2 = 56градусов.
Итак: угол 1 = 124 градуса
          угол 2 = 56 градусов
          угол 3 = 56 градусов
          угол 4 = 124 градуса
          угол 5 = 124 градуса
          угол 6 = 56 градусов
          угол 7 = 56 градусов
          угол 8 = 124 градуса

2. Сначала обозначим угол, вертикальный углу 2 цифрой 3. Т.к. углы 2 и 3 вертикальные, то они равны. Значит мы можем равенство L1 + L2 = 180градусов заменить равенством L1 + L3 = 180градусов. Получаем, что углы 1 и 3 внутренние односторонние, и они равны 180градусам. А т.к. сумма внутренних односторонних углов равна 180градусам, то прямые a и b параллельны. ч.т.д.

3. Сначала обозначим угол, вертикальный углу 1 цифрой 4. Т.к. углы 1 и 4 вертикальные, то они равны. Значит мы можем равенство L1 + L2 = 180градусам заменить равенством L4 +L2= 180градусов. Т.к. L2 = L3, то  L4 + L3 = 180градусов. Т.к. углы 4 и 3 - внутренние односторонние,и их сумма равна 180 градусам, то прямые a и c параллельны. ч.т.д.
4,8(15 оценок)
Ответ:
liquidchannel
liquidchannel
03.06.2022
Формула площади ромба через диагонали:
S=(d1*d2)/2
d1 и d2  диагонали   ⇒
S=336, d1=14
336=(14*d2)/2   решаем...
14*d1=336*2
14*d1==672
d1=672/14=48   - вторая диагональ


ромб АВСД
О - точка пересечения диагоналей
Пусть диагональ СА=14
тогда СО=14/2=7 (т.к. диагонали точкой пересечения делятся пополам)
S(АВСД)=336
а диагонали ромба разбивают его на 4 равных треугольника ⇒ площадь одного треугольника =360/4=84см²
рассмотрим ΔВОС -прямоугольный (т.к. диагонали ромба пересекаются под прямым углом)
S(ВОС)=(ВО*ОС)/2
S(ВОС)=84
СО=7   подставляем
84=(7*ВО)/2
7*ВО=168
ВО=24   - это половина нашей диагонали ВД ⇒
ВД=24*2=48
Площадь ромба 336 см в квадрате,1 диагональ 14 см.найти 2 диоганаль
4,7(24 оценок)
Новые ответы от MOGZ: Геометрия
logo
Вход Регистрация
Что ты хочешь узнать?
Спроси Mozg
Открыть лучший ответ