М
Молодежь
К
Компьютеры-и-электроника
Д
Дом-и-сад
С
Стиль-и-уход-за-собой
П
Праздники-и-традиции
Т
Транспорт
П
Путешествия
С
Семейная-жизнь
Ф
Философия-и-религия
Б
Без категории
М
Мир-работы
Х
Хобби-и-рукоделие
И
Искусство-и-развлечения
В
Взаимоотношения
З
Здоровье
К
Кулинария-и-гостеприимство
Ф
Финансы-и-бизнес
П
Питомцы-и-животные
О
Образование
О
Образование-и-коммуникации
YounMing
YounMing
28.02.2023 18:40 •  Геометрия

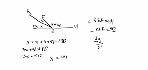
Углы ∠def и ∠mef-смежные луч ek-биссектриса ∠def; ∠kef на 78° меньше (∠ mef) найти ∠ def и ∠mef

👇
Ответ:
динара259
динара259
28.02.2023
...................................
Углы ∠def и ∠mef-смежные луч ek-биссектриса ∠def; ∠kef на 78° меньше (∠ mef) найти ∠ def и ∠mef
4,4(73 оценок)
Открыть все ответы
Ответ:
Rustam7887
Rustam7887
28.02.2023
Пусть d, e и f - точки касания вписанной окружности со сторонами треугольника авс: ас, ав и вс соответственно.нам дано: ав=30см, вf=14см, fc=12см.заметим, что ве=вf=14см, dc=fc=12см, а ае=аd как касательные, проведенные из одной точки к окружности.тогда ае=ав-ве=30-14=16см, значит аd=16см. dc=fc=12см.  значит ас=ad+dc=16+12=28см.  полупериметр треугольника равен: р=(30+26+28): 2=42см.есть формула для вписанной в треугольник окружности: r=√[(p-a)(p-b)(p-c)/р], где р - полупериметр, а, b, c - стороны треугольника.  в нашем случае: r=√(12*16*14/42)=√64=8см.ответ: r=8см.
4,7(85 оценок)
Ответ:
shvey
shvey
28.02.2023
Угол АОD как вертикальный равен углу ВОС.
Рассмотрим треугольник АВС.
Он прямоугольный, с прямым углом В, опирающимся на диаметр АС.
Так как АО = ОС как радиусы окружности, ВО - медиана, выведенная из прямого угла.
Сумма всех внутренних углов треугольника равна 180 градусам. Тогда угол ВАС равен 180 - 90 - 78 = 12 градусам. Треугольник ВОА равнобедренный, так как ВО = ОА как радиусы. Угол ОВА равен 12 градусам, тогда угол ВОА равен 180 - 12 - 12 = 156 градусам, а угол ВОС, смежный углу ВОА, равен 180 - 156 = 24 градусам. Тогда и угол АОD содержит 24 градуса.
4,5(5 оценок)
Это интересно:
Новые ответы от MOGZ: Геометрия
logo
Вход Регистрация
Что ты хочешь узнать?
Спроси Mozg
Открыть лучший ответ