М
Молодежь
К
Компьютеры-и-электроника
Д
Дом-и-сад
С
Стиль-и-уход-за-собой
П
Праздники-и-традиции
Т
Транспорт
П
Путешествия
С
Семейная-жизнь
Ф
Философия-и-религия
Б
Без категории
М
Мир-работы
Х
Хобби-и-рукоделие
И
Искусство-и-развлечения
В
Взаимоотношения
З
Здоровье
К
Кулинария-и-гостеприимство
Ф
Финансы-и-бизнес
П
Питомцы-и-животные
О
Образование
О
Образование-и-коммуникации
Alex1t0
Alex1t0
28.01.2020 16:43 •  Геометрия

Дано: sin = 3/7. найдите cos a, tg a. с ! ( там надо через тригонометрическое тождество, а как точно через него не могу понять! )

👇
Ответ:
atamanova91
atamanova91
28.01.2020
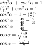
Подставим значение синуса в формулу основного тригонометрического тождества:
sin ^{2} \alpha \: + \: cos {}^{2} \alpha = 1 \\ (\frac{3}{7} ) {}^{2} + \cos ^{2} \alpha = 1 \\ cos {}^{2} \alpha = 1 - ( \frac{3}{7} ) {}^{2} \\ \cos {}^{2} \alpha = \frac{49}{49} - \frac{9}{49} \\ \cos {}^{2} \alpha = \frac{40}{49} \\ \cos \alpha = \sqrt{ \frac{40}{49} } \\ \cos \alpha = \ \frac{ 2\sqrt{10} }{7}
Затем через значение синуса и косинуса найдём тангенс:
\tan(\alpha )= \frac{ \sin( \alpha ) }{ \cos( \alpha ) } \\ \tan( \alpha ) = \frac{3}{7} \div \frac{2 \sqrt{10} }{7} \\ \tan( \alpha ) = \frac{3}{7} \times \frac{7}{2 \sqrt{10} } \\ \tan( \alpha ) = \frac{3}{2 \sqrt{10} }
4,4(22 оценок)
Открыть все ответы
Ответ:
Askemba
Askemba
28.01.2020

Дано:

АВС - треугольник

АМ = СМ

уг. АВС = 60°

уг. ВМА = 90°

Найти

уг. МВС - ?

уг. ВСА - ?

Решение

угол ВМА = 90° => уг. ВМС = 90°

т.е. ВМ | АС, а значит,

ВМ - высота, проведенная из вершины В на АС.

Также АМ = МС, а значит

ВМ - медиана, проведенная из вершины В на АС.

Если медиана треугольника является его высотой, то этот треугольник - равнобедренный.

ВМ - высота и медиана ∆АВС, =>

=> ∆АВС - равнобедренный, основание АС =>

=> ВМ - также является биссектрисой ∆АВС, т.е.

уг. АВМ = уг. СВМ

Так, как ∆АВС - равнобедренный, с основанием АС, то углы при основании - равны друг другу

уг. ВАС = уг. АСВ

и равны

угол ВАС = угол ВСА = 1/2 • (180 - угол АВС)

угол ВАС = угол ВСА = 1/2 • (180 - 60) = 60°

а значит ∆АВС - равносторонний.

угол MBC = 30°

угол ВCA = 60°

4,7(100 оценок)
Ответ:
mukola11
mukola11
28.01.2020

(МН·РН) = 4 ед.

(ОР·РК) =  -2 ед.

Объяснение:

В прямоугольнике противоположные стороны равны  =>

вектора МН = РК.

∠ РОК = 180° - 120° = 60° ( смежные углы).

В прямоугольнике диагонали равны и точкой пересечения делятся пополам =>

Треугольник РОК равносторонний, так как

ОК=ОР и  ∠ РОК = 60°).  =>  ОР = ОК = РК = 2 ед.

ОН=ОР = 2 ед. РН = 4 ед.

Скалярное произведение векторов можно записать так:

a·b=|a|·|b|c·сosα.  

Определение: "Углом между двумя векторами, отложенными от одной точки, называется кратчайший угол, на который нужно повернуть один из векторов вокруг своего начала до положения сонаправленности с другим вектором".

Совместим начала векторов ОР и РК в точке О. Тогда угол между векторами ОР и ОК' (вектора ОК и ОК' равны) равен 120°.  

Векторное произведение указанных в условии векторов:

(МН·РН) = (РК·РН) = 2·4·Cos60° = 4 ед.

(ОР·РК) = 2·2·Cos120° = -2 ед.


Впрямоугольнике mhkp диагонали пересекаются в точке o, pk=2 ,угол mop равен 120. вычислите скалярное
4,6(66 оценок)
Это интересно:
Новые ответы от MOGZ: Геометрия
logo
Вход Регистрация
Что ты хочешь узнать?
Спроси Mozg
Открыть лучший ответ