— меньший угол.
— больший угол.
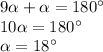
. Сумма углов любого треугольника равна 180°. Поэтому имеем:
Объяснение:
Финляндия - государство на севере Европы. Граничит с Россией на востоке, со Швецией на северо-западе и с Норвегией на севере. На юге и западе берега омывают воды Балтийского моря и его заливов, Финского и Ботнического.
Около трети площади Финляндии расположено за полярным кругом.
В административном отношении Финляндия разделена на 12 губерний, которые, в свою очередь, подразделяются на уезды. Крупнейшие города - Турку, Тампере и Котка.
Климат в Финляндии умеренный, переходный от морского к континентальному и континентальный на севере.









х+9х=180
х=180/10=18 градусов
Больший угол 9*18=162 градуса
2)10 +х+х=36
2х=36-10=26
х=26/2=13 см боковая сторона треугольника