М
Молодежь
К
Компьютеры-и-электроника
Д
Дом-и-сад
С
Стиль-и-уход-за-собой
П
Праздники-и-традиции
Т
Транспорт
П
Путешествия
С
Семейная-жизнь
Ф
Философия-и-религия
Б
Без категории
М
Мир-работы
Х
Хобби-и-рукоделие
И
Искусство-и-развлечения
В
Взаимоотношения
З
Здоровье
К
Кулинария-и-гостеприимство
Ф
Финансы-и-бизнес
П
Питомцы-и-животные
О
Образование
О
Образование-и-коммуникации
Ogents007
Ogents007
17.11.2022 18:17 •  Геометрия

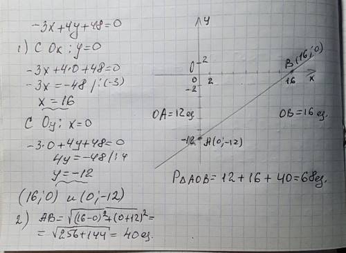
Пряму задано рівнянням 3х+4у+48=0 1) знайдіть координати точок перетину прямої з осями координат. 2) знайдіть периметр трикутника, обмеженого осями координат і прямою. нужно

👇
Ответ:
muzess
muzess
17.11.2022
Решение задания смотри на фотографии
Пряму задано рівнянням 3х+4у+48=0 1) знайдіть координати точок перетину прямої з осями координат. 2)
4,8(63 оценок)
Открыть все ответы
Ответ:
ViktorNiktophorov
ViktorNiktophorov
17.11.2022

ответ

Пусть угол  В=бетта

Так как точка   О - центр описанной окружности, угол АОС - центральный, а угол В- вписанный. По свойству вписанного угла  AOC=2angleB=2*бетта.

AIC=AOC=2*бетта - как вписанные углы, опирающиеся на одну хорду. (По условию точки A, C, центр опи­сан­ной окруж­но­сти O и центр впи­сан­ной окруж­но­сти I лежат на одной окруж­но­сти.)

Точка I - центр вписанной окружности. Она лежит в точке пересечения биссектрис. Пусть углы А=альфа и С = гамма

Сумма углов треугольника А+В+С равна альфа+бетта+гамма

Рассмотрим треугольник AIC:

Сумма углов треугольника AIC равна  альфа/2 + бетта/2 + гамма/2= 180

получили систему:

{

альфа+бетта+гамма=180

альфа/2+2*бетта+гамма/2=180

} следовательно если мы первое разделим на 2 и вычтем из второго первое, получим, что

3/2*бетта=90

бетта=60

угол В=60

4,7(31 оценок)
Ответ:

Объяснение:

Решение

Первый Пусть указанные стороны равны a и 2a. Тогда по теореме косинусов квадрат третьей стороны равен

a2 + 4a2 - 2a . 2a . $\displaystyle {\textstyle\frac{1}{2}}$ = 3a2.

Пусть $ \alpha$ — угол данного треугольника, лежащий против стороны, равной 2a. Тогда по теореме косинусов

cos$\displaystyle \alpha$ = $\displaystyle {\frac{a^{2} + 3a^{2} - 4a^{2}}{2a\cdot a\sqrt{3}}}$ = 0.

Следовательно, $ \alpha$ = 90o.

Второй Пусть угол между сторонами BC = a и AB = 2a треугольника ABC равен 60o. Опустим перпендикуляр AC1 из вершины A на прямую BC. Из прямоугольного треугольника ABC1 с углом 30o при вершине A находим, что

BC1 = $\displaystyle {\textstyle\frac{1}{2}}$AB = BC.

Значит, точка C1 совпадает с точкой C. Следовательно, $ \angle$ACB = 90o.

4,5(38 оценок)
Это интересно:
Новые ответы от MOGZ: Геометрия
logo
Вход Регистрация
Что ты хочешь узнать?
Спроси Mozg
Открыть лучший ответ