М
Молодежь
К
Компьютеры-и-электроника
Д
Дом-и-сад
С
Стиль-и-уход-за-собой
П
Праздники-и-традиции
Т
Транспорт
П
Путешествия
С
Семейная-жизнь
Ф
Философия-и-религия
Б
Без категории
М
Мир-работы
Х
Хобби-и-рукоделие
И
Искусство-и-развлечения
В
Взаимоотношения
З
Здоровье
К
Кулинария-и-гостеприимство
Ф
Финансы-и-бизнес
П
Питомцы-и-животные
О
Образование
О
Образование-и-коммуникации
шиканова
шиканова
26.07.2021 16:56 •  Геометрия

Доказать, что если стороны треугольника соответственно a, b и c, то следует неравенство: a^2+b^2+c^2< 2(ab+bc+ca)

👇
Ответ:
ntarakanov53
ntarakanov53
26.07.2021

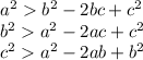
Рассмотрим неравенство треугольника для каждой из трех его сторон:

a > |b - c|

b > |a - c|

c > |a - b|

Возведем в квадрат каждое из трех неравенств:

a^2b^2-2bc+c^2\\b^2a^2-2ac+c^2\\c^2a^2-2ab+b^2

Сложим почленно эти неравенства:

a^2+b^2+c^22a^2+2b^2+2c^2-2ab-2ac-2bc\\\\a^2+b^2+c^2

4,5(37 оценок)
Ответ:
bayawb65
bayawb65
26.07.2021

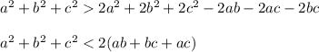
Если x,y,z отрезки касательных на которые делит вписанная окружность стороны, то  a=x+y, b=x+z,  c=y+z

(x+y)^2+(x+z)^2+(y+z)^2<2((x+y)(x+z)+(x+z)(y+z)+(x+y)(y+z)) где x,y,z>0

Открывая скобки и преобразовывая  

xy+yz+zx>0

что верно.

4,4(57 оценок)
Открыть все ответы
Ответ:
яяя99яяя
яяя99яяя
26.07.2021

Все грани прямоугольного параллелепипеда - прямоугольники.

Двугранный угол DABD₁ - это угол между плоскостями DAB и ABD₁.

АВ - ребро двугранного угла.

DA⊥AB как стороны квадрата,

DA - проекция наклонной D₁A на плоскость DAB, значит

D₁A⊥АВ по теореме о трех перпендикулярах.

DA⊥AB и D₁A⊥АВ,, значит ∠D₁AD - линейный угол двугранного угла D₁ABD.

ΔADC: ∠ADC = 90°, по теореме Пифагора

AD = √(AC² - CD²) = √(100 - 36) = √64 = 8 дм

ΔD₁AD: ∠D₁DA = 90°, DD₁ = AA₁ = 8√3 дм, AD = 8 дм,

tg∠D₁AD = D₁D / AD = 8√3 / 8 = √3

∠D₁AD = 60°

4,7(77 оценок)
Ответ:
ника3931
ника3931
26.07.2021

Задачу можно решить двумя обычным и через sin))) Какой вам лучше, выбирайте сами.

Обозначим параллелограмм, как АВСД

ВН - высота, опущенная на сторону АД

АН = 4 см, НД = 2 см.

АД = АН + НД = 4 + 2 = 6 см.

параллелограмма = АД × ВН

Угол В = 135 - 90 = 45 градусов (т.к. ВН - высота, следовательно, она опущена под углом 90 градусов)

Рассмотрим треугольник АВН. Угол ВНА = 90 градусов, АВН = 45 градусов, следовательно угол ВАН = 180 - 90 - 45 = 45 градусов. Значит треугольник АВН - равнобедренный

Следовательно, ВН=АН=4 см.

S параллелограмма = 6 × 4 = 24

параллелограмма = АВ × АД × sin a

Sin а = 45 градусов = √2 делённое на 2

АВ² = √ВН² + АН² = √4² + 4² = √32

S параллелограмма = √32 ×  6 × √2 делённое на 2 = 24

4,5(10 оценок)
Новые ответы от MOGZ: Геометрия
logo
Вход Регистрация
Что ты хочешь узнать?
Спроси Mozg
Открыть лучший ответ