М
Молодежь
К
Компьютеры-и-электроника
Д
Дом-и-сад
С
Стиль-и-уход-за-собой
П
Праздники-и-традиции
Т
Транспорт
П
Путешествия
С
Семейная-жизнь
Ф
Философия-и-религия
Б
Без категории
М
Мир-работы
Х
Хобби-и-рукоделие
И
Искусство-и-развлечения
В
Взаимоотношения
З
Здоровье
К
Кулинария-и-гостеприимство
Ф
Финансы-и-бизнес
П
Питомцы-и-животные
О
Образование
О
Образование-и-коммуникации
Sophie9649
Sophie9649
21.01.2020 03:41 •  Геометрия

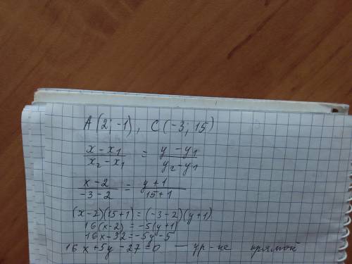
Составьте уравнение прямой, проходящей через точки a(2; -1) и c(-3; 15)

👇
Ответ:
smirnovakrestin
smirnovakrestin
21.01.2020

на фото.................


Составьте уравнение прямой, проходящей через точки a(2; -1) и c(-3; 15)
4,7(32 оценок)
Ответ:
Kotnakompe
Kotnakompe
21.01.2020
Для составления уравнения прямой, проходящей через две точки, мы можем использовать формулу наклона прямой и формулу точки на прямой.

1. Найдите наклон прямой (m):
Наклон прямой равен разности y-координат второй точки и первой точки, деленной на разность x-координат второй точки и первой точки.
m = (y2 - y1) / (x2 - x1)
= (15 - (-1)) / (-3 - 2)
= 16 / (-5)
= -3.2

2. Используйте формулу точки на прямой (y = mx + c), чтобы найти значение с. Для этого подставьте координаты одной из точек (например, точка a) и значение наклона в уравнение, и решите его на c.

y = mx + c
-1 = -3.2 * 2 + c
-1 = -6.4 + c
c = -1 + 6.4
c = 5.4

3. Теперь, когда у нас есть значение наклона (m) и значение с (5.4), мы можем составить уравнение прямой.

y = mx + c
y = -3.2x + 5.4

Таким образом, уравнение прямой, проходящей через точки a(2; -1) и c(-3; 15), будет y = -3.2x + 5.4.
4,6(12 оценок)
Проверить ответ в нейросети
Это интересно:
Новые ответы от MOGZ: Геометрия
logo
Вход Регистрация
Что ты хочешь узнать?
Спроси Mozg
Открыть лучший ответ