см²
. Тогда 
. По теореме Виета находим его корни:
. Так как длина не может быть отрицательной, то выбираем первый корень.
.
см
.
. Тогда наша сторона будет равна
. Учитывая, что площадь треугольника равна
, приравняем это к площади квадрата.
, что делает наш треугольник прямоугольным. Две высоты будут равны соответственно катетам, а третью мы найдем через площадь. Вот как:
. ответ:
Объяснение:
Чи є коренем рівняння 14+7х=0 число (-2)
Да
Коренем рівняння 1/3х=-2 є:
1)-6
Знайдіть корінь рівняння 8,3 + p =16,7
1)8,4
Знайдіть значення функції рівняння 3х+у=6, якщо значення аргументу 0
1)6
Графіком лінійного рвняння у=m є:
1)пряма паралельна осі Х, що проходить через точку (0; m)
Скільки кенів має рівняння 0х+0у=0?
2)має безліч коренів;
Знайдіть корінь рівняння 5х-(х+5)=4(х-2)
4)коренів немає
При якому значенні а рівняння ах=8 не має коренів? *
2)0
Укажіть координати точки, що належить графіку рівняння х+у=6
2)(2; 4)
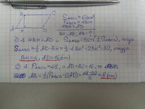
Рассмотрите предложенный вариант (ответы отмечены красным).