М
Молодежь
К
Компьютеры-и-электроника
Д
Дом-и-сад
С
Стиль-и-уход-за-собой
П
Праздники-и-традиции
Т
Транспорт
П
Путешествия
С
Семейная-жизнь
Ф
Философия-и-религия
Б
Без категории
М
Мир-работы
Х
Хобби-и-рукоделие
И
Искусство-и-развлечения
В
Взаимоотношения
З
Здоровье
К
Кулинария-и-гостеприимство
Ф
Финансы-и-бизнес
П
Питомцы-и-животные
О
Образование
О
Образование-и-коммуникации
MaFFakA
MaFFakA
09.11.2022 17:18 •  Химия

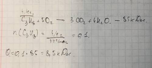
При сгорании 4,4 г пропана в кислороде выделяется 85 кдж теплоты. вычислите тепловой эффект реакции.

👇
Ответ:
Alexal16
Alexal16
09.11.2022
...................................
При сгорании 4,4 г пропана в кислороде выделяется 85 кдж теплоты. вычислите тепловой эффект реакции.
4,8(27 оценок)
Открыть все ответы
Ответ:
KapitanNEMO
KapitanNEMO
09.11.2022

Объяснение:

Опыт1. Все вещества можно определить с свежеосаждённого гидроксида меди (II)

а) при его добавлении в пробирку с раствором глицерина будет наблюдаться растворение гидроксида меди (II), и окрашивание раствора в ярко-синий цвет  (снимок№1)

б)  при его добавлении в пробирку с раствором уксусной кислоты будет наблюдаться растворение  гидроксида меди (II), и синие окрашивание гидроксида меди (II) исчезнет. Произойдет реакция нейтрализации:

2CH₃COOH+Cu(OH)₂=(CH₃COO)₂Cu+2H₂O

в) Прильем к раствору глюкозы несколько капель раствора сульфата меди (II) и раствор щелочи. Осадка гидроксида меди не образуется. Раствор окрашивается в ярко-синий цвет. В данном случае глюкоза растворяет гидроксид меди (II) и ведет себя как многоатомный спирт. Нагреем раствор. Цвет раствора начинает изменяться. Сначала образуется желтый осадок Cu₂O, который с течением времени образует более крупные кристаллы CuO красного цвета. Глюкоза при этом окисляется до глюконовой кислоты.

CH₂OH-CH(OH)₄-COH + Cu(OH)₂→CH₂OH-CH(OH)₄-COOH+Cu₂O↓+H₂O

Опыт2. На кусочек картофеля, хлеба и рис капнем капельку иодной настойки, иодная настойка приобретет синий цвет это и есть качественная реакция на крахмал.


Опыт 1. В трех пробирках даны растворы глицерина, уксусной кислоты и глюкозы. Распознайте все вещест
4,8(26 оценок)
Ответ:
Maksander
Maksander
09.11.2022

Для решения составляется диагональная схема: в центре пишется искомая концентрация, у левого конца каждой диагонали пишут данные концентрации. Затем по диагонали производят вычитание:

10 - 3 = 7 и 20 - 10 = 10.

Из большей части вычитают меньшую, результаты выставляют у правого конца соответствующей диагонали. Получилось, что смешать требуется 10 в.ч. 3%  и 7 в.ч. 20% раствора, т.е. в соотношении 1:2.

                                         20          7

                                             \        /

                                                 10

                                              /       \

                                           3         10


Рассчитайте по диагональной схеме в каком соотношении следует смешать растворы 20% и 3 % для получен
4,4(66 оценок)
Это интересно:
Новые ответы от MOGZ: Химия
logo
Вход Регистрация
Что ты хочешь узнать?
Спроси Mozg
Открыть лучший ответ