М
Молодежь
К
Компьютеры-и-электроника
Д
Дом-и-сад
С
Стиль-и-уход-за-собой
П
Праздники-и-традиции
Т
Транспорт
П
Путешествия
С
Семейная-жизнь
Ф
Философия-и-религия
Б
Без категории
М
Мир-работы
Х
Хобби-и-рукоделие
И
Искусство-и-развлечения
В
Взаимоотношения
З
Здоровье
К
Кулинария-и-гостеприимство
Ф
Финансы-и-бизнес
П
Питомцы-и-животные
О
Образование
О
Образование-и-коммуникации
FedorShar28
FedorShar28
22.02.2021 23:04 •  Химия

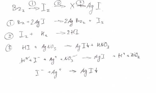
2. Дана схема превращений: Br2 →I2 →X→AgI Напишите молекулярные уравнения реакций, с которых можно осуществить указанные превращения. Для третьего превращения составьте сокращенное ионное уравнение.

👇
Ответ:
innainna604
innainna604
22.02.2021

Решение во вложении

Объяснение:


2. Дана схема превращений: Br2 →I2 →X→AgI Напишите молекулярные уравнения реакций, с которых можно о
4,6(86 оценок)
Открыть все ответы
Ответ:
Erika211
Erika211
22.02.2021

Объяснение:

    Х г                Х моль                         11,2 л

  CaCO3    +    2HCl    =   CaCl2    +   CO2    +    H2O

n=1 моль             n=2 моль                  n=1 моль

М=100 г/моль                                      Vm=22,4 л/моль

m=100 г                                                V = 22,4 л

Х г  СаСО3    -   11,2 л  СО2

100 г СаСО3  -   22,4 л  СО2

m(CaCO3) = 100 * 11,2 / 22,4 = 50 г

Х моль  HCl   -   11,2 л  СО2

2 моль  HCl       -   22,4 л  СО2

n(HCl) = 2 * 11,2 / 22,4 = 1 моль

4,8(57 оценок)
Ответ:
DenisKazansev
DenisKazansev
22.02.2021
1)потому что можно обжечься
2)нужно чтобы пробирка была равномерна нагрета,в этом случае она не лопнет
3)потому что могут исходить газы из пробирки,которые могут нанести ожог или вред лицу
4)во первых,кто-то может ее перевернуть и она выльется.во-вторых могут из нее выходить газы,которые так же вредны для человека
5)нужно рассказать учителю,ну и скорей всего аккуратно собрать осколки и выбросить так,чтобы их никто не задел.
6)пробирка лопнула,потому что была прогрета неравномерно.в этом случаае нужно сообщить учителю и аккуратно убрать осколки.
4,5(40 оценок)
Это интересно:
Новые ответы от MOGZ: Химия
logo
Вход Регистрация
Что ты хочешь узнать?
Спроси Mozg
Открыть лучший ответ