М
Молодежь
К
Компьютеры-и-электроника
Д
Дом-и-сад
С
Стиль-и-уход-за-собой
П
Праздники-и-традиции
Т
Транспорт
П
Путешествия
С
Семейная-жизнь
Ф
Философия-и-религия
Б
Без категории
М
Мир-работы
Х
Хобби-и-рукоделие
И
Искусство-и-развлечения
В
Взаимоотношения
З
Здоровье
К
Кулинария-и-гостеприимство
Ф
Финансы-и-бизнес
П
Питомцы-и-животные
О
Образование
О
Образование-и-коммуникации
YuliaMarho
YuliaMarho
23.08.2022 21:57 •  Химия

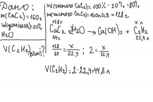
Кальцій карбід масою 160 г з масовою часткою домішок 20% прореагував з водою. Обчисліть об’єм газу (н. у.), що утворився. Назвіть газ. ​

👇
Ответ:
Лина230502
Лина230502
23.08.2022

Відповідь: 44,8 л етину


Кальцій карбід масою 160 г з масовою часткою домішок 20% прореагував з водою. Обчисліть об’єм газу (
4,4(89 оценок)
Открыть все ответы
Ответ:
EvelinaKPACABA
EvelinaKPACABA
23.08.2022

1. C кислотами:

NaOH + NCl = NaCl + H2O

2. С кислотными оксидами:

2NaOH + CO2 => Na2CO3 + H2O

2NaOH + SO2 => Na2SO3

3. С солями тяжелых металлов:

СuCl2 + 2NaOH=> Cu(OH) + 2NaCl

4. C амфотерными оксидами которые обладают как основными, так и кислотными свойствами, и реагировать с щелочами, как с твёрдыми при сплавлении:

ZnO + 2NaOH → Na2ZnO2 + H2O

5. С неметаллами:

4Р + 3NaOH + 3Н2О → РН3 + 3NaH2РО2.

3S + 6NaOH → 2Na2S + Na2SO3 + 3H2O

6. C галогенами:

2NaOH + Cl2 → NaClO + NaCl + H2O(дисмутация хлора)

6NaOH + 3I2 → NaIO3 + 5NaI + 3H2O

7. С металлами: Гидроксид натрия вступает в реакцию с алюминием, цинком, титаном. Он не реагирует с железом и медью (металлами, которые имеют низкий электрохимический потенциал) . Алюминий легко растворяется в едкой щёлочи с образованием хорошо растворимого комплекса — тетрагидроксиалюмината натрия и водорода:

2Al + 2NaOH + 6H2O → 3H2↑ + 2Na[Al(OH)4]

Объяснение:

4,7(87 оценок)
Ответ:
sergazinaaidana1
sergazinaaidana1
23.08.2022
Дано:
V(KOH)p – ?
p(KOH)p = 1,2 г/мл
w(KOH) = 22%
m = 200 г
w(Al) = 21,6%
w(Al2O3) = 10,4%
w(Al(OH)3) = 68%
Решение:
Пусть V(KOH)p = х (мл)
Тогда m(KOH)p = V(KOH)p * p(KOH)p = x * 1,2 = 1,2x (г)
w(KOH) = m(KOH) / m(KOH)p
Отсюда m(KOH) = w(KOH) * m(KOH)p = 0,22 * 1,2x = 0,264х (г)
Тогда n(KOH) = m(KOH) / M(KOH) = 0,264x / 56 = 0,004714x (моль)
Составим уравнения всех реакций
6КOH + 2Al + 6H2O = 2K3[Al(OH)6] + 3H2
6KOH + Al2O3 + 3H2O= 2K3[Al(OH)6]
3KOH + Al(OH)3 = K3[Al(OH)6]
Отсюда получим, что n(KOH) = 3 * n(Al) + 6 * n(Al2O3) + 3 * n(Al(OH)3) (по коэффициентам реакции)
Найдём массы этих веществ
m(Al) = w(Al) * m = 0,216 * 200 г = 43,2 г
m(Al2О3) = w(Al2О3) * m = 0,104 * 200 г = 20,8 г
m(Al(ОН)3) = w(Al(ОН)3) * m = 0,68 * 200 г = 136 г
Отсюда найдём количество вещества каждого соединения
n(Al) = m(Al) / M(Al) = 43,2 / 27 = 1,6 моль
n(Al2О3) = m(Al2О3) / М(Al2O3) = 20,8 / 102 = 0,2 моль
n(Al(ОН)3) = m(Al(ОН)3) / M(Al(OH)3) = 136 / 78 = 1,744 моль
Тогда n(KOH) = 1,6 * 3 + 0,2 * 6 + 1,744 * 3= 11,232 моль
При этом n(KOH) = 0,004714x (моль)
Решим уравнение
0,004714x = 11,232
х = 2 382,7 (мл)
ответ: 2 382,7 мл

Вышло не так, но решение верное, проверил лично сам
Причём если заменить реакции на другие, с образованием тетрагидроксиалюминатов, а не гексагидроксиалюминатов, результат численно станет ближе к вашему ответу: 780 с копейками мл, если память не изменяет. Скорее всего, ответ неверный
4,4(23 оценок)
Это интересно:
Новые ответы от MOGZ: Химия
logo
Вход Регистрация
Что ты хочешь узнать?
Спроси Mozg
Открыть лучший ответ