М
Молодежь
К
Компьютеры-и-электроника
Д
Дом-и-сад
С
Стиль-и-уход-за-собой
П
Праздники-и-традиции
Т
Транспорт
П
Путешествия
С
Семейная-жизнь
Ф
Философия-и-религия
Б
Без категории
М
Мир-работы
Х
Хобби-и-рукоделие
И
Искусство-и-развлечения
В
Взаимоотношения
З
Здоровье
К
Кулинария-и-гостеприимство
Ф
Финансы-и-бизнес
П
Питомцы-и-животные
О
Образование
О
Образование-и-коммуникации
Aysyiu
Aysyiu
02.07.2021 12:00 •  Химия

Даны вещества: li, li2o, p2o5, pbo2, ag, nacl. составить все возможные уравнения реакций

👇
Ответ:
Tedzs
Tedzs
02.07.2021

Li + NaCl = LiCl + Na

3Li2O + P2O5 = 2Li3PO4

Li2O + 2NaCl = 2LiCl + Na2O

 

 

 

 

 

 

 

 

 

4,4(58 оценок)
Ответ:
aygun256
aygun256
02.07.2021

1. Li - металл.

 

4Li+O_2=2Li_2O\\2Li+Cl_2=2LiCl\\2Li+Br_2=2LiBr\\2Li+H_2=2LiH\\2Li+2H_2O=2LiOH+H_2\\2Li+2HCl=2LiCl+H_2\\2Li+CuSO_4=Li_2SO_4+Cu

 

2. Li_2O - основный оксид.

 

Li_2O+H_2SO_4=Li_2SO_4+H_2O\\Li_2O+H_2O=2LiOH\\Li_2O+CO_2=Li_2CO_3\\Li_2O+H_2=2Li+H_2O

 

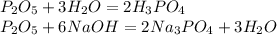
3.P_2O_5 - кислотный оксид.

 

P_2O_5+3H_2O=2H_3PO_4\\P_2O_5+6NaOH=2Na_3PO_4+3H_2O

 

4.PbO_2 - амфотерный оксид.

 

2PbO+4HCl=2PbCl_2+2H_2O

 

5. Ag - металл.

 

4Ag+O_2=2Ag_2O\\2Ag+Cl_2=2AgCl\\

 

6. NaCl - соль.

 

NaCl+KOH=NaOH+KCl\\2NaCl+Ca(NO_3)_2=2NaNO_3+CaCl_2\\2NaCl+Ba=BaCl_2+2Na

 

 

4,4(99 оценок)
Открыть все ответы
Ответ:
Тут следует отметить два момента. Первый состоит в том, что глина обладает очень низкой теплопроводностью и жидкость в глиняной посуде долго сохраняет первоначальную температуру, особенно если кувшин закрыть сверху. Но не это самое интересное. Гораздо забавнее эффект охлаждения жидкости, который наблюдается при нагреве кувшина солнцем. Как это работает? Глина материал пористый и все эти мелкие поры заполняются тонкими прослойками воды. При нагреве стенок нагревается в первую очередь вода в этих порах и начинает быстрее испаряться. Но испарение возможно только при поглощении энергии, которую в виде тепла этот процесс отнимает не только от теплых стенок кувшина, но и от жидкости в кувшине, потому что для испарения 1 грамма воды энергии требуется в несколько раз больше, чем для его нагрева. В результате вода в кувшине охлаждается.
4,6(12 оценок)
Ответ:
rudypal12p08ufl
rudypal12p08ufl
02.07.2021
Осадок выпадет только в одном случае:
Al2(SO4)3 + 6KOH = 3K2SO4 + 2Al(OH)3↓
Только один из этих ДВУХ реактивов (КОН) прореагирует с віделением газа и только с хлоридом аммония:
KOH (конц.) + NH4Cl (конц.) = KCl + H2O + NH3↑

То есть три вещества определили. Из двух оставшися (карбонат натрия и соляная к-та) только соляная кислота прореагирует с ораствором гидроксида калия с выделением тепла - реакция нейтрализации (но я бы на это ставку не делала, хотя ничего лучше придумать не могу).
KOH + HCl (разб.) = KCl + H2O

А раствор карбоната натрия ни с чем, кроме соляной кислоты реагировать не будет

2HCl + K2CO3 = 2KCl + CO2↑ + H2O
Вроде логично
4,5(50 оценок)
Это интересно:
Новые ответы от MOGZ: Химия
logo
Вход Регистрация
Что ты хочешь узнать?
Спроси Mozg
Открыть лучший ответ