М
Молодежь
К
Компьютеры-и-электроника
Д
Дом-и-сад
С
Стиль-и-уход-за-собой
П
Праздники-и-традиции
Т
Транспорт
П
Путешествия
С
Семейная-жизнь
Ф
Философия-и-религия
Б
Без категории
М
Мир-работы
Х
Хобби-и-рукоделие
И
Искусство-и-развлечения
В
Взаимоотношения
З
Здоровье
К
Кулинария-и-гостеприимство
Ф
Финансы-и-бизнес
П
Питомцы-и-животные
О
Образование
О
Образование-и-коммуникации
MariaBobrova
MariaBobrova
08.01.2022 20:05 •  Химия

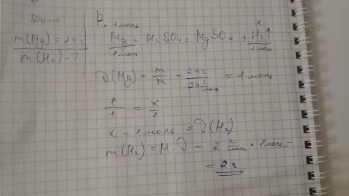
Рассчитайте m H2 образующегося при взаимодействии 24г Mg c H2SO4​

👇
Ответ:
Надежда2709
Надежда2709
08.01.2022

2 грамма

Объяснение:


Рассчитайте m H2 образующегося при взаимодействии 24г Mg c H2SO4​
4,8(71 оценок)
Открыть все ответы
Ответ:
pvpgaydukoxzb3r
pvpgaydukoxzb3r
08.01.2022

Литий. Элемент главной подгруппы первой группы, второго периода периодической системы химических элементов Д. И. Менделеева, с атомным номером 3.

Мягкий щелочной металл серебристо-белого цвета

 

Литий является щелочным металлом, однако относительно устойчив на воздухе. Литий является наименее активным щелочным металлом, с сухим воздухом (и даже с сухим кислородом) при комнатной температуре практически не реагирует. По этой причине литий является единственным щелочным металлом, который не хранится в керосине (к тому же плотность лития столь мала, что он будет в нём плавать) и может непродолжительное время храниться на воздухе.

Фосфор. Нахождение в природе. фосфорит - Ca3(PO4)2, хлорапатит-Ca3(PO4)2*CaCl2, фторапатит - Ca3(PO4)2*CaF2.

Физические свойства: твердое вещ-во кристаллического или амфорного строения. Аллотропные модификации (нерастворимы в  воде): белый, красный, черный (существуют при обычных условиях) и металлический (существует при сверхвысоких давлениях) фосфор.

Белый фосфор в отличие от остальных модификаций имеет молекулярную крист. решетку, светится в темноте, сильно ядовит. переход от белого фосфора к красному возможен при повышении тем-ры до 300"С. переход от белого и красного фосфора к черному возможен при очень высоком давлении (около 13000 атм.) и нагревании до 200"С.

краный фосфор не плавится, начинает сублимировать при т=240"С. при охлаждении пары кристаллизуются в белый фосфор.

Хим-е св-ва: 

*взаимодействует с Ме с образованием фосфидов.

*взаимодействие с неметаллами:

  -избытком кислорода с образованием оксида фосфора(V).

 - недостатком кислорода с образованием оксида фосфора (III).

 -с галогенами ( при избытке образуются галогениды фосфора (V), недостатке - галогениды фосфора  (III), исключение составляет йод, с которым фосфор всегда образует йодид фосфора (III) ).

 - серой ( при избытке образуются сульфиды фосфора (V), недостатке -сульфиды фосфора  (III).

 -с водородом не реагирует

 -взаимодействует с кислотами окислителями

 - взаимодействует с ра-ми щелочей с образованием фосфина.

 

 

 

 

 

 

 

 

 

 

 

 

 

 

 

 

 

 

 

 

 

 

 

 

 

 

 

 

 

4,6(39 оценок)
Ответ:
chvdima
chvdima
08.01.2022

Вот два раза прорешал получилось - C2H6O

Пишем уравнение:

CxHyOz + O2 = CO2 + H2O

Вообще, чтобы узанть что за вещество перед нами, нужно узнать число атомов элементов в соединении, что мы и сделаем:

Поскольку, кроме CO2 и H2O ничего не выделилось, то мы делаем вывод, что вещество либо углеводрод, либо кислород содержащее ОС.

Рассчитаем количество вещества углекислого газа:

n = m/M = 1,98г/44г/моль = 0,045моль. Видим, что количество атомов углерода, равно общему количеству вещества, т.е. n(C) = n(CO2) = 0,045моль. Рассчитаем массу атомов С, m = n*M = 0,045моль*12г/моль = 0,54г

Рассчитаем количество вещества воды:

n = m/M = 1.215г/18г/моль = 0,0675моль. Видим, что количество атомов водорода, в 2 раза больше чем количество вещества воды, т.е. n(H) = 2n(H2O) = 0,135моль. Рассчитаем массу 0,135моль атомов Н. 

m = n*M = 0,135моль/1г/моль = 0,135г

Рассчитаем массу углерода и водорода в углеводороде:

0,54г+0,135г = 0,675г

Рассчитаем массу атомов кислорода в соединении:

m(O2) = m(всего соед) - m(C+H) = 1.035г - 0,675г = 0,36г

Рассчитаем количство вещества атомов кислорода:

n = m/M = 0,36г/16г/моль = 0,0225моль.

Теперь, чтобы верно составить формулу, я должен найти соотношение атомов углерода , к атомам водорода, к атомам кислорода:

n(C):n(H):n(O) = 0,045:0,135:0,0225

Разделим на саое маленькое число из данных нам, на 0,0225, получим:

2:6:1, значит формула соединения: C2H6O

Запишем уравнение горения:

C2H6O + 2O2 = 2CO + 3H2O

Отвечаю на второй вопрос:

Рассчитаем количество вещества C2H6O

n = m/M = 9,2г/46г/моль = 0,2 моль

По уравнению реакции:

n(O2) = 2n(C2H6O) = 0,4моль

Рассчитаем объем кислорода:

V = Vm*n = 0,4моль*22,4л/моль = 8,96л

Рассчитаем объем воздуха, приняв объемную долю кислорода в воздухе за 20% или 0.2

V(возд) = V(O2)/0.2 = 8,96л/0,2 =  44,8л

 

4,4(2 оценок)
Это интересно:
Новые ответы от MOGZ: Химия
logo
Вход Регистрация
Что ты хочешь узнать?
Спроси Mozg
Открыть лучший ответ