М
Молодежь
К
Компьютеры-и-электроника
Д
Дом-и-сад
С
Стиль-и-уход-за-собой
П
Праздники-и-традиции
Т
Транспорт
П
Путешествия
С
Семейная-жизнь
Ф
Философия-и-религия
Б
Без категории
М
Мир-работы
Х
Хобби-и-рукоделие
И
Искусство-и-развлечения
В
Взаимоотношения
З
Здоровье
К
Кулинария-и-гостеприимство
Ф
Финансы-и-бизнес
П
Питомцы-и-животные
О
Образование
О
Образование-и-коммуникации
Kastrulya1
Kastrulya1
12.04.2023 08:20 •  Химия

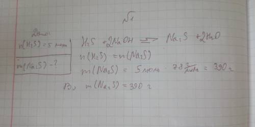
Розчин сульфідної кислоти було нейтралізовано натрій гідроксидом. Розрахуй масу солі, яка утвориться в результаті реакції, якщо було використано 5 моль H2S?

👇
Ответ:
Levix322
Levix322
12.04.2023

Решение на фотографии

Объяснение:


Розчин сульфідної кислоти було нейтралізовано натрій гідроксидом. Розрахуй масу солі, яка утвориться
4,6(80 оценок)
Открыть все ответы
Ответ:
Kirakler2000
Kirakler2000
12.04.2023
1.
H2SO4 + Mg = MgSO4 + H2
n(Mg) = m/M = 36/24 = 1.5 моль
n(MgSO4) = 1.5*1/1 = 1.5 моль
m(MgSO4) = n*M = 1.5* 120 = 180 г

2.
H2 + Cl2 = 2HCl
n(H2) = m/M= 6/2 = 3 моль
n(HCl)= 3*2/1 = 6 моль
m(HCl) = n*M = 6*36.5 = 219 г

3.
2NaOH + H2SO4 = Na2SO4 + 2H2O
m(NaOH) = m(раствора NaOH) *ω = 200*0.15 = 30 г
n(NaOH) = m/M = 30/40 = 0.75 иоль
Из уравнения реакции:
n(Na2SO4) = 0.75*1/2 = 0.375 моль
m(Na2SO4) = n*M = 0.375*142 = 53.25 г

4.
BaCl2 + K2CO3 = BaCO3↓ + 2KCl
m(раствора BaCl2) = ρ*V = 1.05*100 = 105 г
m(BaCl2) =m(раствора BaCl2)*ω = 105*0.1 = 10.5 г
n(BaCl2) = m/M = 10.5/208 = 0.05 моль
Из уравнения реакции:
n(BaCO3) = 0.05*1/1 = 0.05 моль
m(BaCO3) = n*M = 0.05*197 = 9.85 г
4,5(20 оценок)
Ответ:
innabat1
innabat1
12.04.2023
1) Mn2O7 + 2KOH ---> 2KMnO4 + H2O
2) Al(OH)3 + 3HCl ---> AlCl3 + 3H2O
3) Сl2O + 2NaOH ---> 2NaClO + H2O

Спокойно оцените ситуацию, и Вы не запутаетесь: в 1 и 3 реакциях щелочь реагирует с кислотным оксидом. Значит, должна образоваться соль и вода. Чтобы понять, чего это за кислота соответствует кислотному оксиду - напишите ее очень условную формулу из 3-х элементов, например: H Mn O . Над элементами поставьте степени окисления согласно кислотному оксиду Mn2O7. Тогда у вас получится над водородом +1, над марганцем +7, над кислородом -2. В сумме +1 и +7 дают +8. А и у кислорода -2. Но алгебраическая сумма зарядов должна быть равна нулю, мы это знаем, поэтому нужно -2 умножить на 4, чтобы +8-8=0. Соответственно, должно быть 4 кислорода, искомая кислота - HMnO4. Соль - перманганат калия. Также и со второй.
А во второй реакции обычное взаимодействие основания с кислотой по правилу - образуется соль + вода
4,5(71 оценок)
Это интересно:
Новые ответы от MOGZ: Химия
logo
Вход Регистрация
Что ты хочешь узнать?
Спроси Mozg
Открыть лучший ответ