М
Молодежь
К
Компьютеры-и-электроника
Д
Дом-и-сад
С
Стиль-и-уход-за-собой
П
Праздники-и-традиции
Т
Транспорт
П
Путешествия
С
Семейная-жизнь
Ф
Философия-и-религия
Б
Без категории
М
Мир-работы
Х
Хобби-и-рукоделие
И
Искусство-и-развлечения
В
Взаимоотношения
З
Здоровье
К
Кулинария-и-гостеприимство
Ф
Финансы-и-бизнес
П
Питомцы-и-животные
О
Образование
О
Образование-и-коммуникации
LugovoyDanila
LugovoyDanila
24.11.2022 14:34 •  Химия

Определите массу натрия которую необходимо затратить для получения 585г хлорида натри

👇
Ответ:
Даша07кбр
Даша07кбр
24.11.2022

m_{Na}=230g

Объяснение:

Так как нам надо выполнить следующее превращение:

Na=NaCl

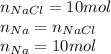
То количество вещества хлорида натрия будет равно количеству вещества натрия:

n_{Na}=n_{NaCl}

Найдем массу хлорида натрия:

n_{NaCl}=\frac{m_{NaCl}}{M_{NaCl}} \\n_{NaCl}=\frac{585g}{58.5g/mol} \\n_{NaCl}=10mol

Приравняем количество веществ

n_{NaCl}=10mol\\n_{Na}=n_{NaCl}\\n_{Na}=10mol

Найдем массу натрия через количество вещества:

m_{Na}=n_{Na}*M_{Na}\\m_{Na}=10mol*23\frac{g}{mol} \\m_{Na}=230g

※Найти молярную массу M можно по таблице Менделеева, сложив массы каждого из атомов

※Отсутствие уравнения реакции здесь не ошибка, задача решается в общем виде для любой реакции получения NaCl из Na

※Формулки:

n=\frac{m}{M} \\M=\frac{m}{n} \\m=n*M

4,7(72 оценок)
Открыть все ответы
Ответ:
violka5
violka5
24.11.2022
I. Правила техники безопасности:

Вещества бывают разные:

Едкие и взрывоопасные

Бывает, что они сами воспламеняются

А есть, такие, которыми отравляются.

Если ты не хочешь получить ожог

Или надышаться ртутными парами,

Эти правила безопасности внимательно прочитай

И в химическом кабинете их никогда не забывай!

1.

При работе с веществами не берите их руками

И не пробуйте на вкус,

Реактивы не арбуз:

Слезет кожа с языка

И отвалится рука

2.

Задавай себе вопрос,

Но не суй в пробирку нос:

Будешь плакать и чихать,

Слёзы градом проливать.

Помаши рукой ты к носу –

Вот ответ на все вопросы

3.

С веществами неизвестными

Не проводи смешивания неуместные:

Незнакомые растворы ты друг с другом не сливай

Не ссыпай в одну посуду, не мешай, не поджигай!

4.

Если ты работаешь с твёрдым веществом,

Не бери его лопатой и не вздумай брать ковшом.

Ты возьми его немножко –

Одну восьмую чайной ложки.

При работе с жидкостью каждый должен знать:

Мерить надо в каплях, ведром не наливать.

5.

Если на руку тебе кислота или щёлочь попала,

Руку быстро промой водой из-под крана

И, чтоб осложнений себе не доставить,

Не забудь учителя в известность поставить.

6.

В кислоту не лей ты воду, а совсем наоборот

Тонкой струйкой подливая,

Осторожненько мешая,

Лей в водичку кислоту –

Так отвадишь ты беду.
4,5(24 оценок)
Ответ:
Obamakrutoi
Obamakrutoi
24.11.2022
Пишем реакцию
2Al + 6HCl = 2AlCl3 + 3H2
Считаем массу алюминия без примесей
m(Al) = m(образца) * w = 2.7 * 0.9 = 2.43 г
Считаем количество вещества алюминия
n = m / M = 2.43 / 27 = 0.09 моль
Считаем массу хлороводорода в растворе
m(HCl) = m(раствора) * w = 300 * 0.0365 = 10.95 г
Считаем количество вещества хлороводорода
n = m / M = 10.95 / 36.5 = 0.3 моль
Посчитаем сколько нужно хлороводорода, чтобы прореагировал весь алюминий
По уравнению хлороводорода нужно втрое больше чем алюминия, т.е. 0.09 * 3 = 0.27 моль
А у нас есть 0.3 моль хлороводорода, поэтому он в излишке и расчеты ведем по алюминию
Опять же, по уравнению реакции n(H2) = 3/2n(Al) = 3/2 * 0.09 = 0.135 моль
Считаем объем водорода
V = n * Vm = 0.135 * 22.4 = 3.024 л
Ну и сделаем пересчет на 95%-ный выход
V(практическое) = η * V(теоретическое) = 0.95 * 3.024 = 2.8728 л
4,4(57 оценок)
Это интересно:
Новые ответы от MOGZ: Химия
logo
Вход Регистрация
Что ты хочешь узнать?
Спроси Mozg
Открыть лучший ответ