М
Молодежь
К
Компьютеры-и-электроника
Д
Дом-и-сад
С
Стиль-и-уход-за-собой
П
Праздники-и-традиции
Т
Транспорт
П
Путешествия
С
Семейная-жизнь
Ф
Философия-и-религия
Б
Без категории
М
Мир-работы
Х
Хобби-и-рукоделие
И
Искусство-и-развлечения
В
Взаимоотношения
З
Здоровье
К
Кулинария-и-гостеприимство
Ф
Финансы-и-бизнес
П
Питомцы-и-животные
О
Образование
О
Образование-и-коммуникации
Миша20072007
Миша20072007
07.12.2022 18:39 •  Химия

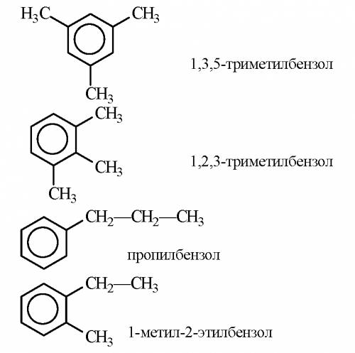
Составьте структурные формулы шести изомеров отвечающих молекулярной формуле c6h6

👇
Ответ:
кусака22
кусака22
07.12.2022
Насчет шести не уверена
Составьте структурные формулы шести изомеров отвечающих молекулярной формуле c6h6
4,8(66 оценок)
Открыть все ответы
Ответ:
Ksushhha00
Ksushhha00
07.12.2022

Даны кристаллические вещества:

Na2SO4, Na2CO3, NaCl.

Добавив воды получим растворы.

Определить сульфат-ион в сульфате натрия можно, добавив, к примеру, хлорид бария.

Молекулярное уравнение реакции:

Na2SO4 + BaCl2 -> BaSO4⬇️ + 2NaCl

ПИ:

2Na(+)+SO4(2-) + Ba(2+)+2Cl(-) -> BaSO4⬇️ + 2Na(+)+2Cl(-)

СИ:

SO4(2-) + Ba(2+) -> BaSO4⬇️

Сульфат бария выпадает в белый осадок.

Карбонат-ион обнаруживается добавлением кислоты, например, соляной.

Молекулярное уравнение реакции:

Na2CO3 + 2HCI -> 2NaCl + H2O + CO2⬆️

ПИ:

2Na(+)+CO3(2-) + 2H(+)+2CI(-) -> 2Na(+)+2Cl(-) + H2O + CO2⬆️

СИ:

CO3(2-) + 2H(+) -> H2O + CO2⬆️

Происходит образование пузырьков углекислого газа.

Обнаружить хлорид-ион возможно в результате реакции с нитратом серебра.

Молекулярное уравнение реакции:

NaCl + AgNO3 -> NaNO3 + AgCl⬇️

ПИ:

Na(+)+Cl(-) + Ag(+)+NO3(-) -> Na(+)+NO3(-) + AgCl⬇️

СИ:

CI(-) + Ag(+) -> AgCl⬇️

Хлорид серебра выпадает в белый творожистый осадок.

4,7(60 оценок)
Ответ:
denisenkovaleri
denisenkovaleri
07.12.2022
В растворе присутствуют растворённое вещество и растворитель, в данном случае соль и вода соответственно. не совсем поняла вопроса - засыпаете соль в воду и мешаете, если не растворяется, возможно, надо нагреть. узнать, какой концентрации (%) будет получен раствор соли можно по формуле: 
ω% = 100%*m в-ва/m р-ра, т.к. у воды плотность 1, масса её будет равна 100 г. m р-ра = m воды + m в-ва = 120 + 30 = 150 г
ω% = 100*30/150 = 20% р-ра сульфата натрия.
ну и есть другие виды концентрации, разумеется. я не знаю, какая именно нужна была.
4,5(58 оценок)
Новые ответы от MOGZ: Химия
logo
Вход Регистрация
Что ты хочешь узнать?
Спроси Mozg
Открыть лучший ответ