М
Молодежь
К
Компьютеры-и-электроника
Д
Дом-и-сад
С
Стиль-и-уход-за-собой
П
Праздники-и-традиции
Т
Транспорт
П
Путешествия
С
Семейная-жизнь
Ф
Философия-и-религия
Б
Без категории
М
Мир-работы
Х
Хобби-и-рукоделие
И
Искусство-и-развлечения
В
Взаимоотношения
З
Здоровье
К
Кулинария-и-гостеприимство
Ф
Финансы-и-бизнес
П
Питомцы-и-животные
О
Образование
О
Образование-и-коммуникации
Ol3ksa
Ol3ksa
06.10.2022 02:47 •  Химия

Запишите уравнение реакции взаимодействия гидроксида меди(2) с серной кислотой.составьте уравнение ионного обмена.заранее

👇
Ответ:
Uchenick2002goda
Uchenick2002goda
06.10.2022
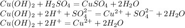
Cu(OH)2+H2SO4=CuSO4+2H2O

Cu(OH)2 + 2H+ + SO4(2-) = Cu2+ + SO4(2-) + 2H2O

Cu(OH)2 + 2H+ = Cu2+ + 2H2O
4,6(5 оценок)
Ответ:
maksfire
maksfire
06.10.2022
Cu(OH)_{2}+H_{2}SO_{4}=CuSO_{4}+2H_{2}O \\ 
Cu(OH)_{2}+2H ^{+} +SO_{4}^{2-}=Cu^{2+}+SO_{4}^{2-}+2H_{2}O \\ 
Cu(OH)_{2}+2H ^{+}=Cu^{2+}+2H_{2}O
4,5(28 оценок)
Открыть все ответы
Ответ:
Geniud
Geniud
06.10.2022

1. знаходимо масу води за формулою:

m(води)=v(води)•ρ(води), де густина води  ρ(води)=1г/мл.

m(води) = 200 мл • 1 г/мл = 200 г. бачимо, що для води об'єм відповідає масі, тому ця дія не є обов'язковою.

2.  знаходимо масу речовини (магній сульфату mgso4) за формулою:

m1(речовини)=(m1(розчину)/100 %)•w1(речовини)=

=(300 г/100%)  •15%=45 г.

3. знаходимо масу нового розчину:

m(розчину)=m1(розчину)+m(води)=300 г+200г=500г.

4. знаходимо масову частку речовини (магній сульфату  mgso4)) в новому розчині за формулою:

w(речовини)=(m1(речовини)/m(розчину))•100 %.

w(речовини)=(45 г/500 г)•100%=9%.

відповідь:   w(речовини)=9%.

4,4(5 оценок)
Ответ:
MikiMio
MikiMio
06.10.2022
Ечть опркделенные правила: Например уислород часто имеет чтепенть окисления -2 за исключением В Na2O2 H2O2 BaO2 они называютс перокчидвми там степень окисление кислорода равно -1 в соединениии OF2 Степень окичление кислорода равно +2 в O2F2 равно+1 в супероксиде K2O чтепень окисление уислорода - 0,5 Степень окислени водорода часто +1 за исключением в гидридах LiH SiH4 BH3 NaH tam stepen okisleniya vodoroda ravno-1 Степень окисление металлоа всегда положительный и жавичит от валентности напримкр степень оеисления калия вседа +1 положительный из за того что он металл и у него постояянаая валентность 1. Сумма степеней окисление всегда раванануля , аесли ион то зарял иона есть одна подсказка если соединение например состоит из трех элементов то первые два положительные а последний имкет отрицательгый степень окисления наприер H2SO4 водород имеет степень окисления всегла +1 из за того что два атома водорода степень оеислениееводорода становится +1 сера по подсказке первые два положительнык и он полодиьельным будет и м и сожно так определить все нматаллы чачто положительные за исклюяеникм в оксидах сера имеет переменную валентность по этлму эго остаыляем в конец кислород имеет 4 атома поэтому степнь окисления будет -8 2+х+(-8)=0 х= 6 х это степенб окисления серы
4,7(83 оценок)
Новые ответы от MOGZ: Химия
logo
Вход Регистрация
Что ты хочешь узнать?
Спроси Mozg
Открыть лучший ответ