М
Молодежь
К
Компьютеры-и-электроника
Д
Дом-и-сад
С
Стиль-и-уход-за-собой
П
Праздники-и-традиции
Т
Транспорт
П
Путешествия
С
Семейная-жизнь
Ф
Философия-и-религия
Б
Без категории
М
Мир-работы
Х
Хобби-и-рукоделие
И
Искусство-и-развлечения
В
Взаимоотношения
З
Здоровье
К
Кулинария-и-гостеприимство
Ф
Финансы-и-бизнес
П
Питомцы-и-животные
О
Образование
О
Образование-и-коммуникации
vladaandreeva2
vladaandreeva2
26.06.2020 01:43 •  Химия

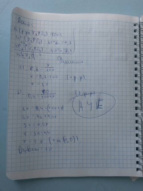
Масса воды,добавленной к 100 г 60%-ной фосфорной кислоты с получением 40%-ного раствора, равна (в г)

👇
Ответ:
Арнур1234
Арнур1234
26.06.2020
Решение на фото
Масса воды,добавленной к 100 г 60%-ной фосфорной кислоты с получением 40%-ного раствора, равна (в г)
4,6(72 оценок)
Открыть все ответы
Ответ:
PAMAGITE12
PAMAGITE12
26.06.2020
1)Для начала запишем уравнение реакции Ca+2HBr=CaBr2+H2 рассчитаем кол во вещества бромоводородной  кислоты 1)n(HBr)=324^0.1/81=0.4моль 2)далее зная количество вещества боромоводородной кислоты нетрудно рассчитать необходимую массу кальция по уравнению реакции молярное соотношения кальция и кислоты равно соответственно 1;2 отсюда n(Ca)=0.2 моль отсюда m(Ca)=40^0,2=8грамм 3)найдем объем водорода исходя и молярного соотношения кислоты и газа которое равно 1:2 как и в случае с кальцием отсюда V(H2)=22.4^0.2=4.48л
4,5(49 оценок)
Ответ:
linochka1083
linochka1083
26.06.2020
У атомов металлов малых периодов (1-3) на внешнем электронном слое находится от 1 до 3 электронов, а у атомов неметаллов — от 4 до 8. Исключение составляют атомы водорода — 1 электрон и бора — 3 электрона. Зная характер изменения радиусов атомов по группам и периодам, а также их электронную структуру, можно объяснить причину изменения металлических и неметаллических свойств атомов элементов, точнее, их простых веществ. Проявление металлических свойств определяется, прежде всего атомов данного элемента отдавать электроны с внешнего электронного слоя. Именно наличием у металлов свободных электронов обусловлена их высокая электропроводность. И наоборот атомов данного элемента присоединять электроны определяет неметаллические свойства его простого вещества. Усиление металлических свойств щелочных металлов с возрастанием атомного номера элемента связано прежде всего с увеличением радиусов их атомов, т. е. с ростом числа электронных слоев. Электрон на внешнем электронном слое у этих атомов все слабее связан с ядром, поэтому легче отрывается. Одновременно усиливаются основные свойства оксидов и гидроксидов этих элементов, поскольку они определяются металлическими свойствами. В противоположность этому неметаллические свойства элементов группы галогенов ослабевают с увеличением зарядов ядер их атомов, так как растет число электронных слоев. Внешний слой находится все дальше от ядра, поэтому электроны, находящиеся на этом слое, слабее связаны с ядром. Кислотные свойства у оксидов и гидроксидов этих элементов также ослабляются. Таким образом, в главных группах (группах А) периодической системы с ростом зарядов ядер атомов химических элементов усиливаются металлические свойства их простых веществ и, соответственно, ослабевают неметаллические. Это особенно наглядно проявляется в группе 4. В ней свойства простых веществ химических элементов изменяются от неметаллических (у углерода и кремния) к металлическим (у олова и свинца) . В малых периодах с ростом зарядов ядер атомов увеличивается и число электронов на внешнем слое. Они сильнее притягиваются к ядру, поэтому атомам все труднее отдавать электроны и легче присоединять их. По этой причине в периоде у атомов химических элементов ослабевают металлические и усиливаются неметаллические свойства. Аналогично в периоде с ростом зарядов ядер атомов свойства оксидов и гидроксидов изменяются от основных к кислотным.
4,7(42 оценок)
Это интересно:
Новые ответы от MOGZ: Химия
logo
Вход Регистрация
Что ты хочешь узнать?
Спроси Mozg
Открыть лучший ответ