М
Молодежь
К
Компьютеры-и-электроника
Д
Дом-и-сад
С
Стиль-и-уход-за-собой
П
Праздники-и-традиции
Т
Транспорт
П
Путешествия
С
Семейная-жизнь
Ф
Философия-и-религия
Б
Без категории
М
Мир-работы
Х
Хобби-и-рукоделие
И
Искусство-и-развлечения
В
Взаимоотношения
З
Здоровье
К
Кулинария-и-гостеприимство
Ф
Финансы-и-бизнес
П
Питомцы-и-животные
О
Образование
О
Образование-и-коммуникации
okorfeda
okorfeda
17.07.2022 10:14 •  Химия

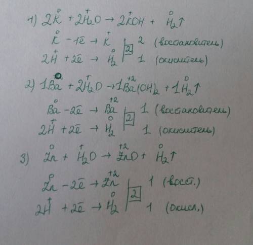
1. k+h2o=koh+h2o 2. ba+h2o=ba(oh)2+h2 3. zn+h2o=zno+h2уравнять, и записать в окислительно восстановительной форме

👇
Ответ:
vladisden
vladisden
17.07.2022
...............................
1. k+h2o=koh+h2o 2. ba+h2o=ba(oh)2+h2 3. zn+h2o=zno+h2уравнять, и записать в окислительно восстанови
4,4(42 оценок)
Открыть все ответы
Ответ:
Romanzadacha2
Romanzadacha2
17.07.2022
V=2л
Массовая доля( NaCl)=10%
c-?
Решение:
с(молярная концентрация)= Количество вещества(Ню)/ объем вещества
Найдем массу раствора
Так как его упарили вдвое осталось 1 л. но масавая доля натрий хлориду не изменилась, поэтому найдем массу вещества
масса= плотность*объем
масса= 1000мл(потому что, плотность в г/мл)* 1,07=1070г раствора
Находим массу натрий хлориду
масса = 1070г*0,1(10%)= 107 г
Теперь находм Ню
Ню=107г / 58,5г/моль(молярная масса натрий хлорида)= 1.8 моль
Ню есть, объем есть
с=1,8 моль/1 л= 1,8моль/л
4,8(72 оценок)
Ответ:
Муликил
Муликил
17.07.2022
Дано:
M(H2SO4)раствора = 120 г
w(H2SO4) = 5% = 0.05

Найти:
V(H2) - ?

Решение:
Напишем уравнение реакции
2Al + 3Н2SO4 = Al2(SO4)3 + 3H2
Найдем массу вещества серной кислоты:
m(H2SO4) = mраствора * w = 120 г * 0.05 = 6 г
w - это омега
Найдем количество вещества серной кислоты:
n(H2SO4) = m / M = 6 г / (1*2+32+4*16) г/моль = 0.06 моль
По уравнению реакции напишем соотношение количеств веществ серной кислоты и водорода (смотрим на коэффициенты перед формулами):
n(H2SO4) : n(H2) = 3 : 3 = 1 : 1, следовательно, n(H2) = 0.06 моль
Найдем объем водорода:
V(H2) = n * Vm = 0.06 моль * 22.4 л/моль = 1.344 л
ответ: V(H2) = 1.334 л
4,4(84 оценок)
Это интересно:
Новые ответы от MOGZ: Химия
logo
Вход Регистрация
Что ты хочешь узнать?
Спроси Mozg
Открыть лучший ответ