М
Молодежь
К
Компьютеры-и-электроника
Д
Дом-и-сад
С
Стиль-и-уход-за-собой
П
Праздники-и-традиции
Т
Транспорт
П
Путешествия
С
Семейная-жизнь
Ф
Философия-и-религия
Б
Без категории
М
Мир-работы
Х
Хобби-и-рукоделие
И
Искусство-и-развлечения
В
Взаимоотношения
З
Здоровье
К
Кулинария-и-гостеприимство
Ф
Финансы-и-бизнес
П
Питомцы-и-животные
О
Образование
О
Образование-и-коммуникации
Daman1777
Daman1777
29.07.2020 02:35 •  Химия

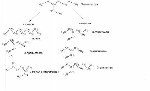
Напишите, , изомеры и гомологи 3-этилгептана. не поняла тему совсем ((

👇
Ответ:
slavasolyanin
slavasolyanin
29.07.2020
Изомеры- такое же количество углерода,водорода, но разное расположение групп CH₂ в пространстве.(если бы были двойные,тройные связи их тоже можно перемещать)
Гомологи - идентичное строение, увеличивается количество групп CH₂ (двойные,тройные связи перемещать нельзя)
P.S. Пыталась более менее "по-русски" объяснить:) 
Напишите, , изомеры и гомологи 3-этилгептана. не поняла тему совсем ((
4,8(29 оценок)
Открыть все ответы
Ответ:
Воряк
Воряк
29.07.2020
Дано:
m'(Cr2O3) = 231 r
ω(прим.) = 10% или 0,1
η(Сr) = 90% или 0,9
Найти:
m(пр.Cr) - ?

m(Cr2O3) = m'(Cr2O3) - 0.1*m'(Cr2O3)
m(Cr2O3) = 231 г - 0,1*231 = 207,9 г
M(Cr2O3) = 152 г/моль
n(Cr2O3) = m(Cr2O3)/M(Cr2O3) 
n(Cr2O3) = 207,9 г/152 г/моль = 1,368 моль
M(Cr) =  52 г/моль

Cr2O3 + 2Al = 2Cr + Al2O3
Из УХР следует, что n(Cr) = 2n(Cr2O3)
n(Cr) = 2* 1,368 моль = 2,736 моль
m(теор. Сг) = n(Cr)*M(Cr) 
m(теор. Сг) = 2,736 моль*52 г/моль = 142,27 г
m(пр. Сг) = m(теор.Сг)*η(Сг)
m(пр. Сг) = 142,27 г*0,9 = 128,04 г
ответ: 128,04 г
4,7(8 оценок)
Ответ:
НастяStar1
НастяStar1
29.07.2020
Канонично перегруппировку рассматривают на примере пинаколина:
1)2,3 диметилобутан2,3диол + Протон---> по традиции получается вода и карбокатион (2,3 диметилобутан2ол)
2)одна из метиловый групп займет место утраченной гидроксильной группы (соответственно мы имеем дело с перемещением позитивного заряда на место "перебежавшей" метильной группы)
3) проблема позитивного заряда решается просто: распадом гидроксильной группы,тоесть гидроген оторвется от оксигена, отддав оксигену свою електроную пару, которая, в следствии последующей миграции, создаст двойную связь с карбоном
4) в конечном итоге получаем 2,3 диметилобут2он

Суть довольно мутная :D на мой взгляд заключается в том что молекула сама себе делает какие-то перестановки (наш интерфиренс минимален). А получаем сложные структуры.
Ну и вообще, это один из методов синтеза
4,6(33 оценок)
Это интересно:
Новые ответы от MOGZ: Химия
logo
Вход Регистрация
Что ты хочешь узнать?
Спроси Mozg
Открыть лучший ответ