М
Молодежь
К
Компьютеры-и-электроника
Д
Дом-и-сад
С
Стиль-и-уход-за-собой
П
Праздники-и-традиции
Т
Транспорт
П
Путешествия
С
Семейная-жизнь
Ф
Философия-и-религия
Б
Без категории
М
Мир-работы
Х
Хобби-и-рукоделие
И
Искусство-и-развлечения
В
Взаимоотношения
З
Здоровье
К
Кулинария-и-гостеприимство
Ф
Финансы-и-бизнес
П
Питомцы-и-животные
О
Образование
О
Образование-и-коммуникации
zharkovaaa1133
zharkovaaa1133
25.12.2021 03:20 •  Химия

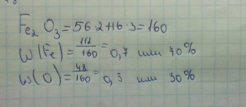
Fe2o3 найти молекулярную массу и массовую долю

👇
Ответ:
09Sodlatov
09Sodlatov
25.12.2021
♥♥♥♥♥♥♥♥♥♥♥♥♥♥♥♥♥♥♥♥♥♥♥♥♥♥♥♥♥♥♥♥
Fe2o3 найти молекулярную массу и массовую долю
4,5(24 оценок)
Открыть все ответы
Ответ:
Бека672
Бека672
25.12.2021
Ну я уже ответил, есть что дополнить:
Решение пропорции "крестом" -это перемножение величин по диагонали
Те
5 г в 100
Х г в 25
5*25=Х*100
Вычислить Х как неизвестный множитель:
5*25/100=1,25г
А метод другой есть:
Перевести % в десятичные доли и не морочиться с этими пропорциями:
1%=0,01
2%=0,02
10%=0,1
12%=0,12
И тд
А дальше это число просто умножить на массу раствора: 0,05*25=1,25г
И еще этот удобен вот чем:
Если есть масса растворенного вещества и ты знаешь, что его в растворе 5% и нужно сказать какова масса этого раствора, то действие обратное: нужно массу вещества разделить на 0,05 те для твоего примера это будет: 1,25/0,05=25г
Надеюсь понятно объяснил, удачи
4,5(58 оценок)
Ответ:
Zagyart
Zagyart
25.12.2021
1) Чаще всего валентность (в 1 ,3 ,2) группах и свойства (например Галлий ,Индий, Таллий - плавятся при комнатной температуре и находятся в одной группе.
2)У йода так-как Хлор - жидкость или газ,которая не проявляет метал. свойств, а йод имеет металический блеск (в кристаллической форме)
3) Натрий , Na_2O
4)Сa, Mg ,He ,Sr ,Ba, Be.
5)По какому плану :3? Натрий - активный щелочной метал 1 группы ,3 периода Хим таблицы Менделееева ,проявляющий металические св-ва. Легко режется (мягкий) По свойствам схож на литий.
6)От метал. свойств до неметал. свойств (с лева на право)
Пример : Натрий метал ,Магний - металл, Алюминий - метал , Кремний неметал ,проявляющий металичсекие свойства , Фосфор неметал и т.д.
7)Натрий
4,7(80 оценок)
Это интересно:
Новые ответы от MOGZ: Химия
logo
Вход Регистрация
Что ты хочешь узнать?
Спроси Mozg
Открыть лучший ответ