М
Молодежь
К
Компьютеры-и-электроника
Д
Дом-и-сад
С
Стиль-и-уход-за-собой
П
Праздники-и-традиции
Т
Транспорт
П
Путешествия
С
Семейная-жизнь
Ф
Философия-и-религия
Б
Без категории
М
Мир-работы
Х
Хобби-и-рукоделие
И
Искусство-и-развлечения
В
Взаимоотношения
З
Здоровье
К
Кулинария-и-гостеприимство
Ф
Финансы-и-бизнес
П
Питомцы-и-животные
О
Образование
О
Образование-и-коммуникации
vsjhffdsg
vsjhffdsg
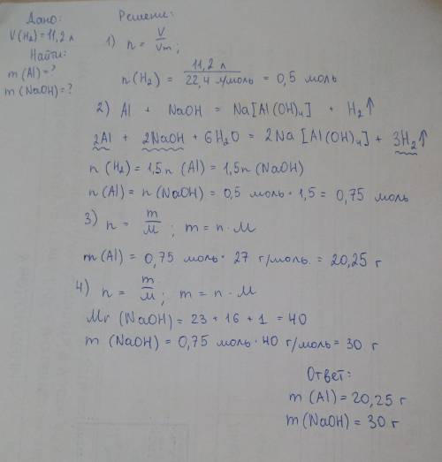
14.01.2020 20:24 •  Химия

При растворении алюминия в избытке раствора гидроксида натрия выделилось 11,2 л водорода. найдите массу растворенного алюминия и массу гидроксида натрия вступившего в реакцию

👇
Ответ:
romashkoremrmber
romashkoremrmber
14.01.2020
Вот, держи решение. Надеюсь
При растворении алюминия в избытке раствора гидроксида натрия выделилось 11,2 л водорода. найдите ма
4,4(25 оценок)
Открыть все ответы
Ответ:
Annalove2000
Annalove2000
14.01.2020

1) Рассчитаем количество вещества хлорбензола:

n(хлорбензола) = m(хлорбензола)/M(хлорбензола) = 450/112,5 = 4 моль

По уравнению реакции соотношение коэффициентов 1 :1, следовательно n(хлорбензола) = n (бензола) = n (хлора)

Найдем массу бензола и хлора

m(бензола) = n(бензола)*M(бензола) = 4*78 = 312 г.

m(хлора) = n(хлора)*M(хлора) = 4*71 = 284 г.


2)Рассчитаем массу 1 моля

5,34*22,4 (молярный объем) = 119,62

Определим массу элементов в соединении

Хлор 119,62*0,8912 = 106,63

Углерод 119,62*0,1004 = 12,01

Водород 119,62*0,0084 = 1,00

Рассчитаем количество атомов в молекуле

Хлор 106,63/35,5 = 3

Углерод 12,01/12 = 1

Водород 1,00/1 = 1

Формула вещества - хлороформ (трихлорметан)

4,8(58 оценок)
Ответ:
Азека2008
Азека2008
14.01.2020

номер 1

а) молекулы, атомы,атомы,атомы;

б) молекула.

номер 2

3SO2 – 3 молекулы оксида серы;

FeCl3  – одна молекула хлорида железа;

2P4  – две молекулы фосфора    простое;

к простым веществам относим те,которые состоят из атомов одного х.э., а к сложным относим те, которые состоят из атомов разных химических элементов.

номер 3

Mr(CH4) = 1*12 + 4*1 = 16;

Mr(Mg(NO3)2) = 1*24 + 2*14 + 6*16 = 148.

номер 4

1. Фосфор- находится в 3 периоде, 5 группе(а), неметалл

2.Медь- находится в 4 периоде 1(б) группе, металл.

номер 5

а)химическим,

б)физическое,

в)физическое;

ответ на вопрос :

1) поскольку физические явления изменяют форму и объём;

2)химическое явление изменяет состав независимо от действий.

номер 6

а) простое вещество

б) химический элемент

в) простое вещество

номер 7

NH3 = 17,8%

H2CO3 = 19,4%

C2H6 = 20%

4,4(81 оценок)
Новые ответы от MOGZ: Химия
logo
Вход Регистрация
Что ты хочешь узнать?
Спроси Mozg
Открыть лучший ответ