М
Молодежь
К
Компьютеры-и-электроника
Д
Дом-и-сад
С
Стиль-и-уход-за-собой
П
Праздники-и-традиции
Т
Транспорт
П
Путешествия
С
Семейная-жизнь
Ф
Философия-и-религия
Б
Без категории
М
Мир-работы
Х
Хобби-и-рукоделие
И
Искусство-и-развлечения
В
Взаимоотношения
З
Здоровье
К
Кулинария-и-гостеприимство
Ф
Финансы-и-бизнес
П
Питомцы-и-животные
О
Образование
О
Образование-и-коммуникации
minikotik322
minikotik322
27.02.2023 20:22 •  Химия

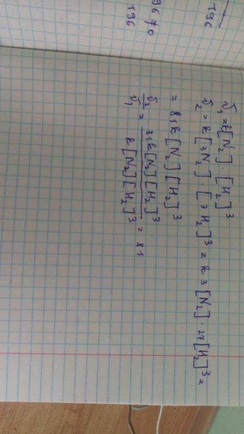
Как изменится скорость реакции n2 + зн2 —> 2nh3, если объем уменьшить в 3 раза.

👇
Ответ:
хани2005
хани2005
27.02.2023
Уменшение обьема приводит к увеличению концентрации. Поэтому скорость реакции увеличится в 81 раз
Как изменится скорость реакции n2 + зн2 —> 2nh3, если объем уменьшить в 3 раза.
4,5(18 оценок)
Ответ:
ZeepFire
ZeepFire
27.02.2023
ответ ответ ответ ответ
Как изменится скорость реакции n2 + зн2 —> 2nh3, если объем уменьшить в 3 раза.
4,8(65 оценок)
Открыть все ответы
Ответ:
advoumnaya
advoumnaya
27.02.2023

1. Составим уравнение химической реакции:

CaO + 2HNO3 = Ca(NO3)2 + H2O.

2. Найдем химическое количество оксида кальция:

n(CaO) = m(CaO) / M(CaO) = 126 г / 56 г/моль = 2,25 моль.

3. По уравнению реакции найдем теоретическое химическое количество нитрата кальция, а в конце его массу:

nтеор(Ca(NO3)2) = n(CaO) = 2,25 моль.

nпрак(Ca(NO3)2) = nтеор(Ca(NO3)2) * η(Ca(NO3)2) / 100% = 2,25 моль * 80% / 100% = 1,8 моль.

m(Ca(NO3)2) = n(Ca(NO3)2) * M(Ca(NO3)2) = 1,8 моль * 164 г/моль = 295,2 г.

ответ: m(Ca(NO3)2) = 295,2 г.

4,6(21 оценок)
Ответ:
Georgiy11111
Georgiy11111
27.02.2023

(соли) = n ∙ M

n(соли) = C ∙ V

=> m(соли) = C ∙ V ∙ M = 3 моль/л ∙ 0,25 л ∙ 96,09 г/моль = 72,06 г

m(p-pa) = V(p-pa) ∙ ρ(p-pa) = 250 мл ∙ 1,32 г/мл = 330 г

m(воды) = m(p-pa) - m(соли) = 257,9 г

V(воды) = m(воды) / ρ(воды) = 257,9 г / 1 г/мл = 257,9 мл

или одной формулой:

V(воды)=[V(p-pa) ∙ ρ(p-pa) - m(соли)]/ρ(воды) = [250 мл ∙ 1,32 г/мл - 72,06 г]/1 г/мл=257,9 мл

Объем взятой для приготовления воды больше объема получ. р-ра. Это можно объяснить тем, что из-за большого кол-ва гидратированных ионов в р-ре силы притяжения (ион-диполь) в р-ре выше, чем силы притяжения между молекулами в чистой воде (водородные связи), расстояния между частицами уменьшаются и объем снижается).

Массовая доля в %:

ω% = m(соли) ∙ 100 / m(p-pa) = 72,06 ∙ 100 / 330 = 21,84%

молярная концентрация эквивалента

Сн=См ∙ z

z - число эквивалентности, = заряду катиона (аниона) на число катионов (анионов) в ф-ле соли. Для (NH4)2CO3 z=1∙2 = 2

Сн=3 ∙ 2 = 6 моль-экв./л (6 н)

Молярная концентрация дана (3 моль/л).

Моляльная концентрация:

Cm = n(соли)/m(воды) = Cм ∙ V/m(воды) = 3 моль/л ∙ 0,25 л/ 0,2579 кг = 4,847 моль/кг

Мольная доля:

χ=n(соли)/n(соли+воды) = Cм ∙ V / (Cм ∙ V + m(воды)/М(воды)) = 3 ∙ 0,25 / (3 ∙ 0,25 + 257,9/18) = 0,04979

Титр раствора:

Т=m(соли)/V(p-pa) = 72,06 / 250 = 0,2882 г/мл

4,5(96 оценок)
Это интересно:
Новые ответы от MOGZ: Химия
logo
Вход Регистрация
Что ты хочешь узнать?
Спроси Mozg
Открыть лучший ответ