М
Молодежь
К
Компьютеры-и-электроника
Д
Дом-и-сад
С
Стиль-и-уход-за-собой
П
Праздники-и-традиции
Т
Транспорт
П
Путешествия
С
Семейная-жизнь
Ф
Философия-и-религия
Б
Без категории
М
Мир-работы
Х
Хобби-и-рукоделие
И
Искусство-и-развлечения
В
Взаимоотношения
З
Здоровье
К
Кулинария-и-гостеприимство
Ф
Финансы-и-бизнес
П
Питомцы-и-животные
О
Образование
О
Образование-и-коммуникации
Pmogi111
Pmogi111
03.02.2022 21:45 •  Химия

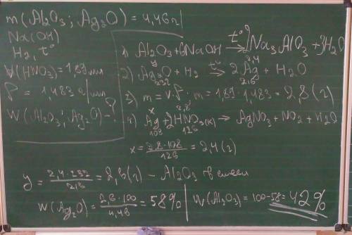
Решить ! смесь оксида алюминия и оксида серебра массой 4,46г растворили в избытке щелочи.не прореагировавший остаток восстановили водородом при нагревании.на полное растворение полученного металла было израсходовано 1,89мл концентрированной 90%-ной азотной кислоты (плотность 1,483 г/мл).определите состав исходной смеси (в %)

👇
Ответ:
nastiakosovic
nastiakosovic
03.02.2022
Решение на фотографии:
Решить ! смесь оксида алюминия и оксида серебра массой 4,46г растворили в избытке щелочи.не прореаги
4,4(90 оценок)
Открыть все ответы
Ответ:
Tina19977
Tina19977
03.02.2022

Объяснение:

1)Какой класса соединения у сахарозы?  Углеводы

2)Группа класса у сахарозы? Олигосахариды

3)Строение молекул у сахарозы? Молекула сахарозы состоит из двух моносахаридов: α-глюкозы и β-фруктозы.

4)Почему сахароза относится к невосстанавливающим углеводам? ​​В сахарозе остаток -D-глюкозы связан с остатком -D-фруктозы 1-2-гликозидной связью (полуацетальными связями), поэтому сахароза не может татуимерно переходить в оксикарбонильную форму и соответственно не может выступать в качестве восстановителя.

4,5(88 оценок)
Ответ:
makhnoliza
makhnoliza
03.02.2022

В 2016 году королева Великобритании Елизавета II отметила 90-летний юбилей и стала не только старейшим монархом в мире, но и самым долго правящим главой государства за всю историю родной страны. Она происходит из династии Виндзоров и, помимо родного острова, признается королевой и в Австралии, Новой Зеландии, Канаде, Папуа – Новой Гвинее, Ямайке и других небольших странах.

На период правления Елизаветы Александры Марии пришелся окончательный распад Британской империи и выход колоний из-под английской власти. При довольно внушительной критике сейчас Елизавета II в родной стране особа достаточно популярная, несмотря на почтенный возраст.

4,4(65 оценок)
Это интересно:
Новые ответы от MOGZ: Химия
logo
Вход Регистрация
Что ты хочешь узнать?
Спроси Mozg
Открыть лучший ответ