М
Молодежь
К
Компьютеры-и-электроника
Д
Дом-и-сад
С
Стиль-и-уход-за-собой
П
Праздники-и-традиции
Т
Транспорт
П
Путешествия
С
Семейная-жизнь
Ф
Философия-и-религия
Б
Без категории
М
Мир-работы
Х
Хобби-и-рукоделие
И
Искусство-и-развлечения
В
Взаимоотношения
З
Здоровье
К
Кулинария-и-гостеприимство
Ф
Финансы-и-бизнес
П
Питомцы-и-животные
О
Образование
О
Образование-и-коммуникации
kseniy20001
kseniy20001
04.01.2022 16:12 •  Химия

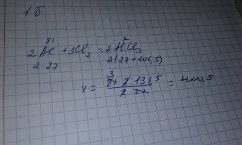
2) определите массу хлорида алюминия, который образуется в результате взаимодействия 81 г алюминия с хлором.

👇
Ответ:
99Dia
99Dia
04.01.2022
Вот и
2) определите массу хлорида алюминия, который образуется в результате взаимодействия 81 г алюминия с
4,8(90 оценок)
Ответ:
kav2003
kav2003
04.01.2022

Молярная масса (алюминия) = 27г на моль

Эн = масса:молярную массу

Эн= 3 моль

Молярная масса (хлорида алюминия) =62,5гр на моль

Масса(хлорида алюминия) = Молярная масса × эн=62,5×3=187,5гр

4,6(25 оценок)
Открыть все ответы
Ответ:
Bredovik
Bredovik
04.01.2022

1) Дано:                                                      

m (Al) = 2,7 г           

Найти:

m(Al2O3)

 2,7 г                 x г

4Al + 3O2 = 2Al2O3

108 г                204 г          

2,7 г --- x г

108 г --- 204 г

х = 2,7 г ∙ 204 г\108 г = 5,1 г

ответ: m(Al2O3) = 5,1 г

 

2) 

 

а)Дано:

Дано: N(CO2) = 6,02∙10[23] молекул

Найти: m(CO2)

n(CO2) = N\Na  = 6,02∙10[23] \6,02∙10[23] моль[1-] = 1 моль

M(CO2) = 12 + 16∙2 = 44 г\моль

m(СO2) = n ∙ M = 1 моль ∙ 44 г\моль = 1 г

ответ: m(СО2) = 44 г

  10[23] - это 10 в степени 23

 

 

в) Дано:

Дано: V(Н2) = 11,2 л

Найти: m(Н2)

 n(Н2) = V\Vm = 11,2 л\22,4 л\моль = 0,5 моль

 M(H2) = 2 ∙ 1 = 2 г\моль

m(H2) = n ∙ M = 0,5 моль ∙ 2 г\моль = 1 г

ответ: m(Н2) = 1 г

 

б) Дано:

Дано: n(O2) = 3 моль

Найти: m(О2)

 M(О2) = 16 ∙ 2 = 32 г\моль

m(О2) = n ∙ M = 3 моль ∙ 32 г\моль = 96 г

ответ: m(О2) = 96 г

4,8(38 оценок)
Ответ:
kyvsaar
kyvsaar
04.01.2022
1) Запишем уравнение реакции: 2Fe + 3Cl2 = 2FeCl3
Находим количество FeCl3:
v(FeCl3) = 381 г : 162,5 г/моль = 2,345 моль.
Количество железа, по уравнению реакции, такое же, т.е. v(Fe) = v(FeCl3) = 2,345 моль.
Находим массу железа:
m(Fe) = 2,345 моль * 56 г/моль = 131,32 г.

2) Запишем уравнение реакции: 4Al + 3O2 = 2Al2O3
Находим количество алюминия:
v(Al) = 2,7 г : 27 г/моль = 0,1 моль.
Количество оксида алюминия, по уравнению реакции, в два раза меньше, т.е. v(Al2O3) = 0,05 моль.
Находим массу оксида алюминия:
m(Al2O3) = 0,05 моль * 102 г/моль = 5,1 г.
4,5(41 оценок)
Это интересно:
Новые ответы от MOGZ: Химия
logo
Вход Регистрация
Что ты хочешь узнать?
Спроси Mozg
Открыть лучший ответ