ответ в приложенных файлах
Объяснение:




1. Три электронных слоя и один электрон во внешнем электронном слое соответствует атому :
2)Натрия
2. В каком ряду усиливаются металлические свойства соответствующих им простых вещ-в?
1)берилий-магний-кальций
3. Соединениями с ковалентной неполярной и ковалентной полярной связью являются соотв-но:
2) N₂ и HBr
4. Степень окисления +5 фосфор проявляет в соединении:
4) Mg(H₂PO₄)₂
5. Вещества, формулы которых BeO и BaO, являются соответственно
2)Амфотерный оксид и основный оксид
6. Реакцию, уравнение которой 2Rb+2H₂O=2RbOH+H₂ относят к реакциям
1)Замещения, экзотермическим
7. Ионы SO₃²⁻ образуются при диссоциации в водном растворе:
4) сульфита калия
8. Газ выделяется при взаимодействии:
ни в одной реакции газ не выделяется!
Zn(OH)₂+2HCI=ZnCI₂+H₂O
CuS+HCI≠ сульфид меди не реагирует с соляной кислотой
Cu(OH)₂+2HNO₃=Cu(NO₃)₂+2H₂O
K₂O+2HNO₃=2KNO₃+H₂O
9. Кальций взаимодействует с каждым из веществ, формулы которых перечислены в группе:
3) O₂, H₂O, N₂
10. Оксид бериллия реагирует с каждым из двух веществ
4) KOH и H₂SO₄
11. Раствор азотной кислоты реагирует с каждым из двух веществ
1)Ag и RbOH
12. Среди веществ: хлорид натрия, сульфид натрия, сульфат натрия - в реакцию с нитратом меди (II) вступае (ю) т:
3) одно вещество, сульфид натрия
13. Верны ли следующие суждения:
Б. Водяной раствор соли и мела можно разделить с фильтрования
2) верно только Б
14. Аммиак является окислителем в реакции схема которой:
1) N₂⁰+H₂⁰->N⁻³H₃⁺
15. В ряду хим. элементов Cl-S-P
1.Уменьшаются заряды ядер атомов
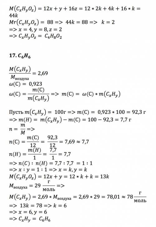
16. Для углеводорода C₂H₆ характерно:
1)реакция замещения
2)реакция дегидрирования
Первая часть
1. В
2. Б
3. А
4.
5. Непонятный вопрос, возможно там сместился он. Но если вопрос про функциональную группу ch(o), то это пльдегид (А)
6.в
7. Г
8. А
9.
10. А
11. 1762