М
Молодежь
К
Компьютеры-и-электроника
Д
Дом-и-сад
С
Стиль-и-уход-за-собой
П
Праздники-и-традиции
Т
Транспорт
П
Путешествия
С
Семейная-жизнь
Ф
Философия-и-религия
Б
Без категории
М
Мир-работы
Х
Хобби-и-рукоделие
И
Искусство-и-развлечения
В
Взаимоотношения
З
Здоровье
К
Кулинария-и-гостеприимство
Ф
Финансы-и-бизнес
П
Питомцы-и-животные
О
Образование
О
Образование-и-коммуникации
damirnikiforov
damirnikiforov
12.08.2020 12:43 •  Математика

50
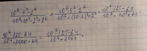
применяя разложения на множители , найдите значение выражения:
10^6*5^3-2^6
(дробь)
10^6+10^3*2^3+2^6

👇
Ответ:
Zhenya2099
Zhenya2099
12.08.2020

Пошаговое объяснение:

(альтернативный вид=124)


50 применяя разложения на множители , найдите значение выражения: 10^6*5^3-2^6 (дробь) 10^6+10^3*2
4,6(7 оценок)
Открыть все ответы
Ответ:
Rollov35
Rollov35
12.08.2020
4 брата 4 дружных угла работали и решать людям трудные проблемы но потом появились компьютеры и люди от углов отказались.
- Ну и зря- сказал прямой угол.
- Мы же вам доверяли -хныча сказал тупой
-А если сломается ваш компьютер что вы будете делать, а?- сказал развёрнутый
- Ну всё с меня хватит я пошёл путешествовать,в других странах мы тоже прегодимся пошли!-сказал острый и начали они собираться.
Пришли в первый город видит прямой угол что забор не могут мужики ровно поставить решил постаил всё ровно мужики и говорят оставайся у нас мы тебя не обидем (я не знаю что дальше писать вот точто придумала 
4,5(91 оценок)
Ответ:
nikaa10
nikaa10
12.08.2020
(Прежде  всего, следует  отметить, что углы треугольника должны быть меньше 90 градусов. Иначе 2 высоты  не  провести.)

Высоты образуют 2 пары малых и больших прямоугольных треугольников. Для доказательства используем пару больших треугольников. Они имеют по прямому углу(высота перпендикулярна стороне) и общему острому углу. 
 По признаку равенства прямоугольных треугольников:     "если катет и острый угол одного прямоугольного треугольника соответственно равны катету и острому углу другого прямоугольного треугольника, то такие треугольники равны",  эти треугольники  равны,  равны  и  их  гипотенузы. А  гипотенузы,  это  стороны  исходного  треугольника.  Значит  треугольник равнобедренный.  
Нужно . докажите,что если высоты проведены к двум сторонам треугольгика равны, то этот треугольник р
4,7(29 оценок)
Это интересно:
Новые ответы от MOGZ: Математика
logo
Вход Регистрация
Что ты хочешь узнать?
Спроси Mozg
Открыть лучший ответ