М
Молодежь
К
Компьютеры-и-электроника
Д
Дом-и-сад
С
Стиль-и-уход-за-собой
П
Праздники-и-традиции
Т
Транспорт
П
Путешествия
С
Семейная-жизнь
Ф
Философия-и-религия
Б
Без категории
М
Мир-работы
Х
Хобби-и-рукоделие
И
Искусство-и-развлечения
В
Взаимоотношения
З
Здоровье
К
Кулинария-и-гостеприимство
Ф
Финансы-и-бизнес
П
Питомцы-и-животные
О
Образование
О
Образование-и-коммуникации
vanikkuz
vanikkuz
30.12.2022 04:39 •  Математика

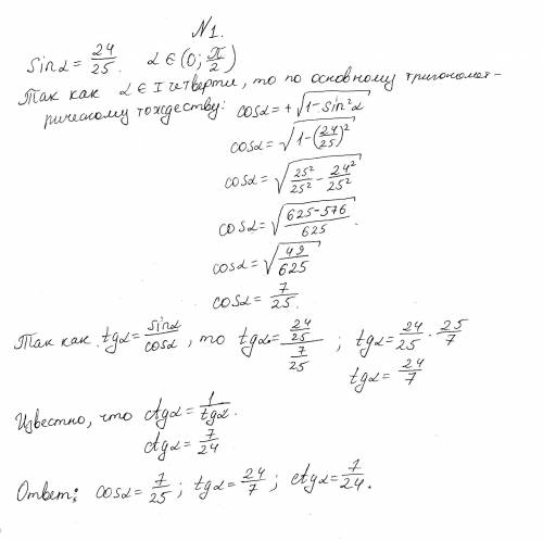
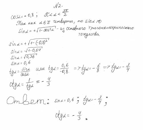
Зделайте 3 любых с решением(заранее )

👇
Ответ:
Yuliy5321
Yuliy5321
30.12.2022

4) 1.

Пошаговое объяснение:

Решение в приложении


Зделайте 3 любых с решением(заранее )
Зделайте 3 любых с решением(заранее )
Зделайте 3 любых с решением(заранее )
Зделайте 3 любых с решением(заранее )
4,6(49 оценок)
Открыть все ответы
Ответ:
usenov777
usenov777
30.12.2022
Задача№1                      1 Сколько бычков братья отдали кошке  6+2+3=11                                           2 Сколько бычков осталось у братьев  29-11=18                                               3 Сколько бычков осталось у каждого брата  18:3=6                                         4 Первый брат поймал  6+6=12 бычков                                                             5 Второй                         6+2 =8                                                                         6 Третий                          6+3 =9    
4,5(19 оценок)
Ответ:
deryabina92
deryabina92
30.12.2022
Задача№1                      1 Сколько бычков братья отдали кошке  6+2+3=11                                           2 Сколько бычков осталось у братьев  29-11=18                                               3 Сколько бычков осталось у каждого брата  18:3=6                                         4 Первый брат поймал  6+6=12 бычков                                                             5 Второй                         6+2 =8                                                                         6 Третий                          6+3 =9    
4,5(20 оценок)
Новые ответы от MOGZ: Математика
logo
Вход Регистрация
Что ты хочешь узнать?
Спроси Mozg
Открыть лучший ответ