М
Молодежь
К
Компьютеры-и-электроника
Д
Дом-и-сад
С
Стиль-и-уход-за-собой
П
Праздники-и-традиции
Т
Транспорт
П
Путешествия
С
Семейная-жизнь
Ф
Философия-и-религия
Б
Без категории
М
Мир-работы
Х
Хобби-и-рукоделие
И
Искусство-и-развлечения
В
Взаимоотношения
З
Здоровье
К
Кулинария-и-гостеприимство
Ф
Финансы-и-бизнес
П
Питомцы-и-животные
О
Образование
О
Образование-и-коммуникации
vlad1458
vlad1458
23.05.2023 11:23 •  Математика

Если сумму четырёх последовательных чисел разделить на 9 ,в частном получится 22 ,а в остатке 4 .чему равно большее из этих чисел​

👇
Ответ:
bitvazat
bitvazat
23.05.2023

ответ:  52 .

Пусть четыре последовательных числа - это числа x-3, x-2, x-1, x. И нужно найти x.

По условию задачи известно, что:

\displaystyle \frac{(x-3)+(x-2)+(x-1)+x}{9} = 22,  остаток 4.

То есть, \displaystyle \frac{4x-6}{9} = 22,  остаток 4.

Откуда:

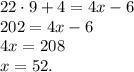
22\cdot9+4=4x-6\\202=4x-6\\4x=208\\x=52.

Задача решена! Разве что можно сделать проверку:

\displaystyle \frac{49 + 50 + 51 +52}{9} = \frac{202}{9} = 22,  ост. 4.

Примечание:

При решении задачи мы пользовались тем, что:

Если a : b = c, ост. d, то a = bc+d.
4,7(89 оценок)
Открыть все ответы
Ответ:
Volodyaaaa
Volodyaaaa
23.05.2023

Решение .

Предположим, что шестиугольник только один. Тогда количество вершин у пятиугольников равно 28 - 6 = 22. Этого не может быть, потому что число 22 на 5 не делится.

Если шестиугольник два, то количество вершин у пятиугольников равно 28 - 12 = 16, чего не может быть.

Если шестиугольник три, то количество вершин у пятиугольников равно 28 - 18 = 10. Значит, пятиугольников может быть два.

Если шестиугольников четыре, то количество вершин у пятиугольников равно 28 - 24 = 4, чего не может быть.

Больше четырех шестиугольников быть не может.

4,6(50 оценок)
Ответ:
urokiiiii
urokiiiii
23.05.2023

Решение .

Предположим, что шестиугольник только один. Тогда количество вершин у пятиугольников равно 28 - 6 = 22. Этого не может быть, потому что число 22 на 5 не делится.

Если шестиугольник два, то количество вершин у пятиугольников равно 28 - 12 = 16, чего не может быть.

Если шестиугольник три, то количество вершин у пятиугольников равно 28 - 18 = 10. Значит, пятиугольников может быть два.

Если шестиугольников четыре, то количество вершин у пятиугольников равно 28 - 24 = 4, чего не может быть.

Больше четырех шестиугольников быть не может.

4,4(27 оценок)
Новые ответы от MOGZ: Математика
logo
Вход Регистрация
Что ты хочешь узнать?
Спроси Mozg
Открыть лучший ответ