М
Молодежь
К
Компьютеры-и-электроника
Д
Дом-и-сад
С
Стиль-и-уход-за-собой
П
Праздники-и-традиции
Т
Транспорт
П
Путешествия
С
Семейная-жизнь
Ф
Философия-и-религия
Б
Без категории
М
Мир-работы
Х
Хобби-и-рукоделие
И
Искусство-и-развлечения
В
Взаимоотношения
З
Здоровье
К
Кулинария-и-гостеприимство
Ф
Финансы-и-бизнес
П
Питомцы-и-животные
О
Образование
О
Образование-и-коммуникации
qwvt7
qwvt7
14.03.2022 07:59 •  Математика

Ax+2y=2
(a+2)x + 2ay = a+2

решите систему ривнянь

👇
Ответ:
tatyanasotniko
tatyanasotniko
14.03.2022

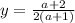
x=\frac{1}{a+1}

y=\frac{a+2}{2(a+1)}

Пошаговое объяснение:

\left \{ {{ax+2y=2} \atop {\frac{a+2}{a}x+2y=\frac{a+2}{a} }} \right.

вычитаем из первого уравнения второе

ax-\frac{a+2}{a}x=2-\frac{a+2}{a}\\\frac{a^{2}-a-2 }{a}x=\frac{a-2}{a}\\ x=\frac{a-2}{a^{2}-a-2}=\frac{a-2}{a^{2}-2a +a-2}=\frac{a-2}{(a+1)(a-2)}=\frac{1}{a+1}

при a≠-1, a≠2

отсюда

y=1-\frac{a}{2}\frac{1}{a+1}=\frac{a+2}{2(a+1)}

4,4(22 оценок)
Открыть все ответы
Ответ:
Какую роль играет лес в жизни человека?


Человек и природа тесно взаимосвязаны. Лес для человека оказывает большую пользу. Еще издревле лес согревал и кормил людей. И сегодня лесные ресурсы являются наиважнейшим источником топлива, производства строительных и других материалов – тканей, бумаги и т.д. В лесу растут съедобные грибы и ягоды, лекарственные травы. В лесу каждый человек может насладиться свежим воздухом, покоем и красотой, получить огромное эстетическое удовольствие.


Кроме того, леса – это зеленые легкие планеты, ведь деревья являются чемпионами по производству кислорода и очищению воздуха от углекислого газа, токсинов.

4,6(3 оценок)
Ответ:
mintbouquet
mintbouquet
14.03.2022
Одними из самых опасных метеорологических явлений, возникающих в атмосфере, являются бури, штормы, ураганы и смерчи, которые обладают боль­шой разрушительной силой и нередко приводят к чрез­вычайным ситуациям с человеческими жертвами.

Буря - сильный ветер от 18 до 28 м/с.

Шторм - сильный ветер от 29 до 32 м/с.

Ураган - ветер большой разрушительной силы, скорость которого более 33 м/с.

Смерч - сильный атмосферный вихрь, возника­ющий в грозовом облаке и распространяющийся по земной поверхности.

При заблаговременном оповещении об опас­ном природном явлении:

- не отключайте радиоприемники и телевизоры - но ним может поступить новая информация и реко­мендации по действиям;

- с наветренной стороны здания плотно закройте двери и окна, вентиляционные отверстия. Для урав­нивания внутреннего давления с подветренной сто­роны окна и двери следует открыть и закрепить в этом положении;

- стекла закрытых окон заклейте полосками бу­маги или ткани;

- с балконов, лоджий и подоконников уберите ве­щи;

- подготовьте запас воды и пищи, медикаментов, электрические фонари, свечи, переносной приёмник, документы и деньги;

- выключите газ, погасите огонь в печах;

- будьте готовы укрыться в помещениях без окон (ванная комната, коридор, кладовая и т. п.) ;

Если во время бури, шторма, урагана или смер­ча Вы оказались на открытой местности:

- быстро укройтесь в ближайшем здании (подъез­де, магазине, и т. п.) ;

- если нет возможности укрыться в помещении, то следует находиться как можно дальше от зданий - это от летящих осколков шифера, стекла и че­репицы, не укрывайтесь под высокими, одиноко стоя­щими деревьями.

- спрячьтесь в кювете, канаве, яме, плотно прижав­шись к земле и укрыв голову руками;

- если вы находитесь а автомобиле, и нет возмож­ности укрыться в каком-либо здании, оставайтесь в нем, отъехав на безопасное расстояние от места вероятного падения высоких деревьев, рекламных щитов и т. л.

После опасного природного явления:

- после ослабления ветра не торопитесь покидать своё укрытие, так как может последовать его новый порыв;

- если Вас известили, что опасное природное яв­ление больше не возобновиться, можно выходить на улицу, при этом соблюдая максимальную осторож­ность и внимательность из-за возможного обрушения строительных конструкций и падения каких-либо не­закрепленных предметов;

- при необходимости окажите первую по­страдавшим, вызовите службы экстрен­ного реагирования.
4,8(53 оценок)
Это интересно:
Новые ответы от MOGZ: Математика
logo
Вход Регистрация
Что ты хочешь узнать?
Спроси Mozg
Открыть лучший ответ