М
Молодежь
К
Компьютеры-и-электроника
Д
Дом-и-сад
С
Стиль-и-уход-за-собой
П
Праздники-и-традиции
Т
Транспорт
П
Путешествия
С
Семейная-жизнь
Ф
Философия-и-религия
Б
Без категории
М
Мир-работы
Х
Хобби-и-рукоделие
И
Искусство-и-развлечения
В
Взаимоотношения
З
Здоровье
К
Кулинария-и-гостеприимство
Ф
Финансы-и-бизнес
П
Питомцы-и-животные
О
Образование
О
Образование-и-коммуникации
jovanny1607
jovanny1607
21.03.2020 00:49 •  Математика

Вычислите значение выражения наиболее удобным

👇
Ответ:
414484
414484
21.03.2020

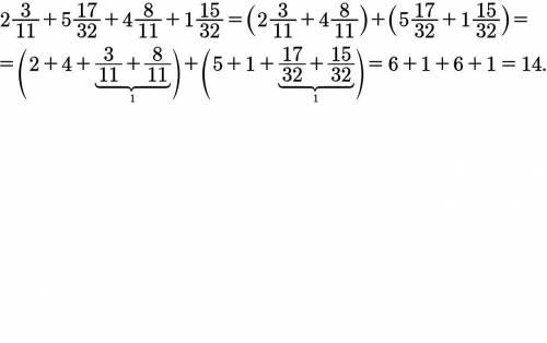
2 3/11+ 5 17/32+4 8/11+1 15/32=14

Пошаговое объяснение:

1)2 3/11+4 8/11=6 11/11=7

2)5 17/32+1 15/32=6 32/32=7

3)7+7=14

4,6(16 оценок)
Ответ:
olgapustovarova1
olgapustovarova1
21.03.2020

ответ: 14

Пошаговое объяснение: во вложении.


Вычислите значение выражения наиболее удобным
4,8(76 оценок)
Открыть все ответы
Ответ:
Aixerel
Aixerel
21.03.2020
1 Как можно получить цилиндр в результате вращения прямоугольника?Нужно вращать прямоугольник вокруг его стороны.2. Объясните , что называют основанием, боковой поверхностью, высотой, образующей цилиндра?Основания цилиндра - круги, их два. Боковая поверхность - вертикальная.Высота - это отрезок, соединяющий два центра оснований.Образующая - это отрезок на поверхности, параллельный высоте.3. Из каких фигур состоит развёртка цилиндра ?Развертка цилиндра состоит из двух кругов и прямоугольника.4. По какой формуле вычисляют площадь боковой поверхности цилиндра?S = pi*R^2*H, здесь R - радиус основания, H - высота.5. Как можно получить конус в результате вращения прямоугольного треугольника?Нужно вращать треугольник вокруг его катета.6. Объясните, что называют основанием, боковой поверхностью, высотой, образующей, вершиной конуса.Основание конуса - это круг. Боковая поверхность - наклонная.Вершина конуса - точка вверху конуса. Высота - это отрезок, соединяющий вершину и центр основания.Образующая - это отрезок, соединяющий вершину и точку на окружности.7. Из каких фигур состоит развёртка конусаРазвертка конуса состоит из круга и сектора круга.8. Как можно получить шар в результате вращения полукругаНужно вращать полукруг вокруг его диаметра.9. Как называют поверхность шара?Поверхность шара - это сфера.10. Объясните что называют центром, диаметром, радиусом шараЦентр шара - это центр полукруга, из которого получен шар.Радиус шара - это отрезок, соединяющий центр шара и точку на сфере.Диаметр - это отрезок, соединяющий две точки на сфере и проходящий через центр шара.11. Какая фигура является сечением шара?Сечением шара всегда является круг.
Сечение, проходящее через центр, называется большим кругом.12. Какие тела вращения вы знаете?В школе изучают шар, цилиндр и конус (и усеченный конус).В институте еще тор (бублик), эллипсоид, гиперболоид (однополостный и двухполостный) и параболоид.
4,7(60 оценок)
Ответ:

Поскольку при укладывании по 8 и по 7 плиток в ряд прямоугольников не получается, а остаются неполные ряды, то количество плиток делится на 8 с остатком и на 7 с остатком.

Остаток от деления любого числа на 8 не может быть больше 7. По условию, это число на 5 больше, чем остаток от делания на 7. Но остаток от деления на 7 тоже не равен нулю. Значит, остаток деления на 8 может быть равен только 7. А остаток от деления на 7 равен 1.

Общее количество плиток меньше 100, иначе их хватило бы на квадратную площадку со стороной в 10 плиток.

Среди чисел меньше 100 надо найти такое,которое делится на 8 с остатком 6 и на 7 с остатком 1. Проверим все числа в пределах 100,

делящиеся на 7 с остатком 1

ответ: 78 плиток

Пошаговое объяснение:

но это не точно

4,7(38 оценок)
Новые ответы от MOGZ: Математика
logo
Вход Регистрация
Что ты хочешь узнать?
Спроси Mozg
Открыть лучший ответ