Пошаговое объяснение:
Пусть х - один катет, тогда другой 3х.

Один - скандинавский бог войны и победы. Сопоставим с античным богом
Аресом (Марсом) и славянским Перуном
Фригга - скандинавская богиня семьи, брака, любви и домашнего очага.
Сопоставима и античной богиней Герой и Вестой, славянской Ладой.
Тор - скандинавский бог грома и бури. Сопоставим с античным Зевсом
(Юпитером) и славянским Перуном.
Тиу - скандинавский покровитель воинов. Сопоставим с (см. Одина).
Фро - скандинавский бог плодородия и лета. Сопоставим с античной
богиней Персефоной и славянской Макошью.
Цио - см. Тиу
Локи - скандинавский бог хитрости и обмана. Сопоставим с античным
богом Гермесом и славянским богом Мороком.
Исида - египетская богиня магии и женственности. Сопоставима с античной
Гекатой и славянской Макошью.
Нерта - скандинавская богиня плодородия, мать-земля. Сопоставима с
античной Геей и Мать-землей у славян.
Голода - предположительно, славянское олицетворение голода и мора.
Сопоставимо с античной Эридой.
Фрейя - см. Фригга (практически одно и то же, для интересующихся, это не
богиня, а одна из валькирий).
Геллия - скандинавская покровительница мертвых и, предположительно,
призраков. Сопоставима с античной Гекатой и славянской Мораной.
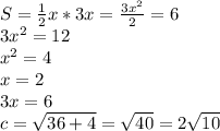
Пошаговое объяснение:
s=1/2 x 3x=6
3x^2=12
x^2=4
x=2
по. т. Пифагора
4+(4*3)^2=гипотенуза
4+144=148
√148