М
Молодежь
К
Компьютеры-и-электроника
Д
Дом-и-сад
С
Стиль-и-уход-за-собой
П
Праздники-и-традиции
Т
Транспорт
П
Путешествия
С
Семейная-жизнь
Ф
Философия-и-религия
Б
Без категории
М
Мир-работы
Х
Хобби-и-рукоделие
И
Искусство-и-развлечения
В
Взаимоотношения
З
Здоровье
К
Кулинария-и-гостеприимство
Ф
Финансы-и-бизнес
П
Питомцы-и-животные
О
Образование
О
Образование-и-коммуникации
Finik2100
Finik2100
31.10.2022 09:38 •  Математика

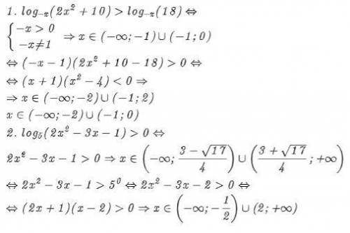
Решите логарифмические неравенства:

1)log−x(2x^2+10)> log_−x 18

2)log_5 (2x^2 -3x-1)> 0

👇
Ответ:

/////////////////////////////////


Решите логарифмические неравенства: 1)log−x(2x^2+10)> log_−x 182)log_5 (2x^2 -3x-1)> 0
4,4(14 оценок)
Открыть все ответы
Ответ:
visaenko1974
visaenko1974
31.10.2022
У Запорожской Сечи была своя территория, которая называлась Кош. По полю разбросаны курени, напоминающие отдельные государства. Руководили ими выборные кошевые атаманы, которые избирались Большим советом «из своих же запорожских казаков» . Все важные вопросы решали вместе на общем собрании. Был и свой запас провизии, и кашевар. 
Прийти на Сечь мог каждый, но тот, кто хотел здесь поселиться, должен был пройти своеобразный воинский экзамен у опытных воинов. Если пришедший был слабым и непригодным к воинской службе, его не принимали и отсылали обратно домой. Сечь была похожа «на школу и бурсу детей, живущих на всем готовом» . Отсталость запорожцев особенно ярко проявлялась в бесправном положении женщины, в ее трагической судьбе, что подчеркивается в образе матери Остапа и Андрия. Все это вместе с антинациональными тенденциями в верхушке украинского казачества было источником ослабления Сечи, нарастания в ней внутренних противоречий. Воспевая запорожскую вольницу, Гоголь осуждал крепостничество, угнетение, любое подавление человеческой личности. Наиболее яркие, проникновенные страницы посвящены героизму людей из народа, их представлениям о честности, справедливости, долге. Но, прославляя подвиги запорожцев, писатель вместе с тем не скрывает того, что удаль в них сочеталась с беспечностью и разгулом, ратные подвиги — с жестокостью. Но такое тогда было время: «Дыбом воздвигнулся бы ныне волос от тех страшных знаков свирепства полудикого века, которые пронесли везде запорожцы », — пишет Гоголь. Запорожская вольница, непритязательный быт, разгульные обычаи, строгие законы закаляли и воспитывали казаков. Они становились храбрыми и бесстрашными, выносливыми и умелыми защитниками веры и своего народа. 
4,6(50 оценок)
Ответ:
igor4321tryutr
igor4321tryutr
31.10.2022

Пошаговое объяснение:

Полимеры (от греч. polymeres — состоящий из многих частей, многообразный) — это химические соединения с высокой молекулярной массой (от нескольких тысяч до многих миллионов), молекулы которых (макромолекулы) состоят из большого числа повторяющихся группировок (мономерных звеньев). Атомы, входящие в состав макромолекул, соединены друг с другом силами главных и (или) координационных валентностей.                                                                                                            По происхождению полимеры  делятся на природные (биополимеры), например белки, нуклеиновые кислоты, смолы природные, и синтетические, например полиэтилен, полипропилен, феноло-формальдегидные смолы.

Атомы или атомные группы могут располагаться в макромолекуле в виде:

4,4(10 оценок)
Новые ответы от MOGZ: Математика
logo
Вход Регистрация
Что ты хочешь узнать?
Спроси Mozg
Открыть лучший ответ