М
Молодежь
К
Компьютеры-и-электроника
Д
Дом-и-сад
С
Стиль-и-уход-за-собой
П
Праздники-и-традиции
Т
Транспорт
П
Путешествия
С
Семейная-жизнь
Ф
Философия-и-религия
Б
Без категории
М
Мир-работы
Х
Хобби-и-рукоделие
И
Искусство-и-развлечения
В
Взаимоотношения
З
Здоровье
К
Кулинария-и-гостеприимство
Ф
Финансы-и-бизнес
П
Питомцы-и-животные
О
Образование
О
Образование-и-коммуникации
clydeofficial
clydeofficial
14.07.2021 23:44 •  Математика

Найдите точку минимума функции y=(25^2+25)/x (с решением).

👇
Ответ:
Karol45
Karol45
14.07.2021

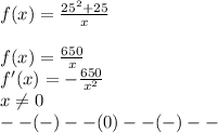
f(x)=\frac{25^2+25}{x}\\\\f(x)=\frac{650}{x}\\f'(x)=-\frac{650}{x^2} \\x\neq 0\\--(-)--(0)--(-)--

Нет минимума и максимума

4,7(44 оценок)
Ответ:

Точка минимума - точка области определения, в которой знак производной меняется с минуса на плюс.

у'=-(625+25)/x²

во всей области определения производная отрицательна, т.е. функция убывает и не собирается менять свой характер. Поэтому о точках минимума речи не идет. Их нет.

4,6(40 оценок)
Открыть все ответы
Ответ:
AnastasiaBA
AnastasiaBA
14.07.2021
1)m*8 > 40, при m=6 и m=7                                                                                6*8 > 40, 48 > 40                                                                                                    7*8 >40, 56 > 40                                                                                                2)a*5 > 5*4, при а=5 и при а=6                                                                           5*5 > 5*4, 25 > 20                                                                                                  6*5 > 5*4, 30 > 20                                                                                             3)6*R < 7*6, при R=6 и при R=5                                                                         6*6 < 7*6, 36 < 42                                                                                                6*5 < 7*6, 30 < 42 
4,4(87 оценок)
Ответ:
trunczova84
trunczova84
14.07.2021
1)m*8 > 40, при m=6 и m=7                                                                                6*8 > 40, 48 > 40                                                                                                    7*8 >40, 56 > 40                                                                                                2)a*5 > 5*4, при а=5 и при а=6                                                                           5*5 > 5*4, 25 > 20                                                                                                  6*5 > 5*4, 30 > 20                                                                                             3)6*R < 7*6, при R=6 и при R=5                                                                         6*6 < 7*6, 36 < 42                                                                                                6*5 < 7*6, 30 < 42                                         
4,8(67 оценок)
Новые ответы от MOGZ: Математика
logo
Вход Регистрация
Что ты хочешь узнать?
Спроси Mozg
Открыть лучший ответ