М
Молодежь
К
Компьютеры-и-электроника
Д
Дом-и-сад
С
Стиль-и-уход-за-собой
П
Праздники-и-традиции
Т
Транспорт
П
Путешествия
С
Семейная-жизнь
Ф
Философия-и-религия
Б
Без категории
М
Мир-работы
Х
Хобби-и-рукоделие
И
Искусство-и-развлечения
В
Взаимоотношения
З
Здоровье
К
Кулинария-и-гостеприимство
Ф
Финансы-и-бизнес
П
Питомцы-и-животные
О
Образование
О
Образование-и-коммуникации
Vitalik1994
Vitalik1994
30.07.2022 21:47 •  Математика

Выберите уравнение корнем которого является 6​

👇
Ответ:
katyavoloshina1
katyavoloshina1
30.07.2022

в)

Пошаговое объяснение:

а) не является

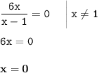
\displaystyle \tt \frac{6x}{x-1}=0 \: \: \: \: \: \: \bigg|\:x\ne1\\\\ \displaystyle \tt 6x=0\\\\ \displaystyle \tt \bold{x=0}

б) не является

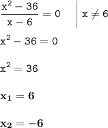
\displaystyle \tt \frac{x^2-36}{x-6}=0\:\:\:\:\:\:\bigg|\:x\ne6\\\\ \displaystyle \tt x^2-36=0\\\\ \displaystyle \tt x^2=36\\\\ \displaystyle \tt \bold{x_1=6}\\\\ \displaystyle \tt \bold{x_2=-6}

НО x₁ не подходит по ОДЗ

в) является

\displaystyle \tt \frac{x-6}{x+6}=0\:\:\:\:\:\:\bigg|\:x\ne-6\\\\ \displaystyle \tt x-6=0\\\\ \displaystyle \tt \bold{x=6}

4,8(50 оценок)
Открыть все ответы
Ответ:
irinkaokhotina
irinkaokhotina
30.07.2022

1 найдем производную функции, ею будет 4х³-12х²-16х

2. приравняем ее нулю, найдем критические точки.

4х³-12х²-16х=0

4х*(х²-3х-4)=0

х=0, по теореме, обратной теореме Виета, х=4, х=-1

Из полученных корней указанному отрезку принадлежат  корни ноль и минус один.

3. найдем значение функции в критических точках 0; -1 и на концах отрезка. и укажем наибольшее и наименьшее значения.

у(-1)=1+4-8=-3 - наименьшее значение функции

у(0)=0

у(-2)=16-4*(-8)-8*4=16  - наибольшее значение функции

у(1/2)=1/16-4*(1/8)-8*(1/4)=-2 целых и 7/16

Пошаговое объяснение:

4,4(44 оценок)
Ответ:
shivaco
shivaco
30.07.2022

/summon minecraft:ender_dragon/kill @e/summon minecraft:ender_dragonTypeluvᅠᅠᅠᅠᅠTypeluvᅠᅠᅠᅠᅠTypeluvᅠᅠᅠᅠᅠTypeluvTypeluv

ඞඞඞඞඞඞඞඞඞඞඞඞඞඞඞඞඞඞඞඞඞඞඞඞඞඞඞඞඞඞඞඞඞඞඞඞඞඞඞඞඞඞඞඞඞඞඞඞඞඞඞඞඞඞඞඞඞඞඞඞඞඞඞඞඞඞඞඞඞඞඞඞඞඞඞඞඞඞඞඞඞඞඞඞඞඞඞඞඞඞඞඞඞඞඞඞඞඞඞඞඞඞඞඞඞඞඞඞඞඞඞඞඞඞඞඞඞඞඞඞඞඞ

ඞඞඞඞඞඞඞඞඞඞඞඞඞඞඞඞඞඞඞඞඞඞඞඞඞඞඞඞඞඞඞඞඞඞඞඞඞඞඞඞඞඞඞඞඞඞඞඞඞඞඞඞඞඞඞඞඞඞඞඞඞඞඞඞඞඞඞඞඞඞඞඞඞඞඞඞඞඞඞඞඞඞඞඞඞඞඞඞඞඞඞඞඞඞඞඞඞඞඞඞඞඞඞඞඞඞඞඞඞඞඞඞඞඞඞඞඞඞඞඞඞඞ

ඞඞඞඞඞඞඞඞඞඞඞඞඞඞඞඞඞඞඞඞඞඞඞඞඞඞඞඞඞඞඞඞඞඞඞඞඞඞඞඞඞඞඞඞඞඞඞඞඞඞඞඞඞඞඞඞඞඞඞඞඞඞඞඞඞඞඞඞඞඞඞඞඞඞඞඞඞඞඞඞඞඞඞඞඞඞඞඞඞඞඞඞඞඞඞඞඞඞඞඞඞඞඞඞඞඞඞඞඞඞඞඞඞඞඞඞඞඞඞඞඞඞ

╚═(███)═╝

╚═(███)═╝

.╚═(███)═╝

..╚═(███)═╝

…╚═(███)═╝

…╚═(███)═╝

..╚═(███)═╝

.╚═(███)═╝

……╚(██)╝

………(█)

……….*

ඞඞඞඞඞඞඞඞඞඞඞඞඞඞඞඞඞඞඞඞඞඞඞඞඞඞඞඞඞඞඞඞඞඞඞඞඞඞඞඞඞඞඞඞඞඞඞඞඞඞඞඞඞඞඞඞඞඞඞඞඞඞඞඞඞඞඞඞඞඞඞඞඞඞඞඞඞඞඞඞඞඞඞඞඞඞඞඞඞඞඞඞඞඞඞඞඞඞඞඞඞඞඞඞඞඞඞඞඞඞඞඞඞඞඞඞඞඞඞඞඞඞ

╚═(███)═╝

╚═(███)═╝

.╚═(███)═╝

..╚═(███)═╝

…╚═(███)═╝

…╚═(███)═╝

..╚═(███)═╝

.╚═(███)═╝

……╚(██)╝

………(█)

……….*

ඞඞඞඞඞඞඞඞඞඞඞඞඞඞඞඞඞඞඞඞඞඞඞඞඞඞඞඞඞඞඞඞඞඞඞඞඞඞඞඞඞඞඞඞඞඞඞඞඞඞඞඞඞඞඞඞඞඞඞඞඞඞඞඞඞඞඞඞඞඞඞඞඞඞඞඞඞඞඞඞඞඞඞඞඞඞඞඞඞඞඞඞඞඞඞඞඞඞඞඞඞඞඞඞඞඞඞඞඞඞඞඞඞඞඞඞඞඞඞඞඞඞ

╚═(███)═╝

╚═(███)═╝

.╚═(███)═╝

..╚═(███)═╝

…╚═(███)═╝

…╚═(███)═╝

..╚═(███)═╝

.╚═(███)═╝

……╚(██)╝

………(█)

……….*

ඞඞඞඞඞඞඞඞඞඞඞඞඞඞඞඞඞඞඞඞඞඞඞඞඞඞඞඞඞඞඞඞඞඞඞඞඞඞඞඞඞඞඞඞඞඞඞඞඞඞඞඞඞඞඞඞඞඞඞඞඞඞඞඞඞඞඞඞඞඞඞඞඞඞඞඞඞඞඞඞඞඞඞඞඞඞඞඞඞඞඞඞඞඞඞඞඞඞඞඞඞඞඞඞඞඞඞඞඞඞඞඞඞඞඞඞඞඞඞඞඞඞ

╚═(███)═╝

╚═(███)═╝

.╚═(███)═╝

..╚═(███)═╝

…╚═(███)═╝

…╚═(███)═╝

..╚═(███)═╝

.╚═(███)═╝

……╚(██)╝

………(█)

……….*

ඞඞඞඞඞඞඞඞඞඞඞඞඞඞඞඞඞඞඞඞඞඞඞඞඞඞඞඞඞඞඞඞඞඞඞඞඞඞඞඞඞඞඞඞඞඞඞඞඞඞඞඞඞඞඞඞඞඞඞඞඞඞඞඞඞඞඞඞඞඞඞඞඞඞඞඞඞඞඞඞඞඞඞඞඞඞඞඞඞඞඞඞඞඞඞඞඞඞඞඞඞඞඞඞඞඞඞඞඞඞඞඞඞඞඞඞඞඞඞඞඞඞ

╚═(███)═╝

╚═(███)═╝

.╚═(███)═╝

..╚═(███)═╝

…╚═(███)═╝

…╚═(███)═╝

..╚═(███)═╝

.╚═(███)═╝

……╚(██)╝

………(█)

……….*

ඞඞඞඞඞඞඞඞඞඞඞඞඞඞඞඞඞඞඞඞඞඞඞඞඞඞඞඞඞඞඞඞඞඞඞඞඞඞඞඞඞඞඞඞඞඞඞඞඞඞඞඞඞඞඞඞඞඞඞඞඞඞඞඞඞඞඞඞඞඞඞඞඞඞඞඞඞඞඞඞඞඞඞඞඞඞඞඞඞඞඞඞඞඞඞඞඞඞඞඞඞඞඞඞඞඞඞඞඞඞඞඞඞඞඞඞඞඞඞඞඞඞ

╚═(███)═╝

╚═(███)═╝

.╚═(███)═╝

..╚═(███)═╝

…╚═(███)═╝

…╚═(███)═╝

..╚═(███)═╝

.╚═(███)═╝

……╚(██)╝

………(█)

……….*

ඞඞඞඞඞඞඞඞඞඞඞඞඞඞඞඞඞඞඞඞඞඞඞඞඞඞඞඞඞඞඞඞඞඞඞඞඞඞඞඞඞඞඞඞඞඞඞඞඞඞඞඞඞඞඞඞඞඞඞඞඞඞඞඞඞඞඞඞඞඞඞඞඞඞඞඞඞඞඞඞඞඞඞඞඞඞඞඞඞඞඞඞඞඞඞඞඞඞඞඞඞඞඞඞඞඞඞඞඞඞඞඞඞඞඞඞඞඞඞඞඞඞ

╚═(███)═╝

╚═(███)═╝

.╚═(███)═╝

..╚═(███)═╝

…╚═(███)═╝

…╚═(███)═╝

..╚═(███)═╝

.╚═(███)═╝

……╚(██)╝

………(█)

……….*

ඞඞඞඞඞඞඞඞඞඞඞඞඞඞඞඞඞඞඞඞඞඞඞඞඞඞඞඞඞඞඞඞඞඞඞඞඞඞඞඞඞඞඞඞඞඞඞඞඞඞඞඞඞඞඞඞඞඞඞඞඞඞඞඞඞඞඞඞඞඞඞඞඞඞඞඞඞඞඞඞඞඞඞඞඞඞඞඞඞඞඞඞඞඞඞඞඞඞඞඞඞඞඞඞඞඞඞඞඞඞඞඞඞඞඞඞඞඞඞඞඞඞ

╚═(███)═╝

╚═(███)═╝

.╚═(███)═╝

..╚═(███)═╝

…╚═(███)═╝

…╚═(███)═╝

..╚═(███)═╝

.╚═(███)═╝

……╚(██)╝

………(█)

……….*

ඞඞඞඞඞඞඞඞඞඞඞඞඞඞඞඞඞඞඞඞඞඞඞඞඞඞඞඞඞඞඞඞඞඞඞඞඞඞඞඞඞඞඞඞඞඞඞඞඞඞඞඞඞඞඞඞඞඞඞඞඞඞඞඞඞඞඞඞඞඞඞඞඞඞඞඞඞඞඞඞඞඞඞඞඞඞඞඞඞඞඞඞඞඞඞඞඞඞඞඞඞඞඞඞඞඞඞඞඞඞඞඞඞඞඞඞඞඞඞඞඞඞ

╚═(███)═╝

╚═(███)═╝

.╚═(███)═╝

..╚═(███)═╝

…╚═(███)═╝

…╚═(███)═╝

..╚═(███)═╝

.╚═(███)═╝

……╚(██)╝

………(█)

……….*

ඞඞඞඞඞඞඞඞඞඞඞඞඞඞඞඞඞඞඞඞඞඞඞඞඞඞඞඞඞඞඞඞඞඞඞඞඞඞඞඞඞඞඞඞඞඞඞඞඞඞඞඞඞඞඞඞඞඞඞඞඞඞඞඞඞඞඞඞඞඞඞඞඞඞඞඞඞඞඞඞඞඞඞඞඞඞඞඞඞඞඞඞඞඞඞඞඞඞඞඞඞඞඞඞඞඞඞඞඞඞඞඞඞඞඞඞඞඞඞඞඞඞ

╚═(███)═╝

╚═(███)═╝

.╚═(███)═╝

..╚═(███)═╝

…╚═(███)═╝

…╚═(███)═╝

..╚═(███)═╝

.╚═(███)═╝

……╚(██)╝

………(█)

……….*

ඞඞඞඞඞඞඞඞඞඞඞඞඞඞඞඞඞඞඞඞඞඞඞඞඞඞඞඞඞඞඞඞඞඞඞඞඞඞඞඞඞඞඞඞඞඞඞඞඞඞඞඞඞඞඞඞඞඞඞඞඞඞඞඞඞඞඞඞඞඞඞඞඞඞඞඞඞඞඞඞඞඞඞඞඞඞඞඞඞඞඞඞඞඞඞඞඞඞඞඞඞඞඞඞඞඞඞඞඞඞඞඞඞඞඞඞඞඞඞඞඞඞ

ඞඞඞඞඞඞඞඞඞඞඞඞඞඞඞඞඞඞඞඞඞඞඞඞඞඞඞඞඞඞඞඞඞඞඞඞඞඞඞඞඞඞඞඞඞඞඞඞඞඞඞඞඞඞඞඞඞඞඞඞඞඞඞඞඞඞඞඞඞඞඞඞඞඞඞඞඞඞඞඞඞඞඞඞඞඞඞඞඞඞඞඞඞඞඞඞඞඞඞඞඞඞඞඞඞඞඞඞඞඞඞඞඞඞඞඞඞඞඞඞඞඞ

╚═(███)═╝

╚═(███)═╝

.╚═(███)═╝

..╚═(███)═╝

…╚═(███)═╝

…╚═(███)═╝

..╚═(███)═╝

.╚═(███)═╝

……╚(██)╝

………(█)

……….*

ඞඞඞඞඞඞඞඞඞඞඞඞඞඞඞඞඞඞඞඞඞඞඞඞඞඞඞඞඞඞඞඞඞඞඞඞඞඞඞඞඞඞඞඞඞඞඞඞඞඞඞඞඞඞඞඞඞඞඞඞඞඞඞඞඞඞඞඞඞඞඞඞඞඞඞඞඞඞඞඞඞඞඞඞඞඞඞඞඞඞඞඞඞඞඞඞඞඞඞඞඞඞඞඞඞඞඞඞඞඞඞඞඞඞඞඞඞඞඞඞඞඞ

╚═(███)═╝

╚═(███)═╝

.╚═(███)═╝

..╚═(███)═╝

…╚═(███)═╝

…╚═(███)═╝

..╚═(███)═╝

.╚═(███)═╝

……╚(██)╝

………(█)

……….*

ඞඞඞඞඞඞඞඞඞඞඞඞඞඞඞඞඞඞඞඞඞඞඞඞඞඞඞඞඞඞඞඞඞඞඞඞඞඞඞඞඞඞඞඞඞඞඞඞඞඞඞඞඞඞඞඞඞඞඞඞඞඞඞඞඞඞඞඞඞඞඞඞඞඞඞඞඞඞඞඞඞඞඞඞඞඞඞඞඞඞඞඞඞඞඞඞඞඞඞඞඞඞඞඞඞඞඞඞඞඞඞඞඞඞඞඞඞඞඞඞඞඞ

╚═(███)═╝

╚═(███)═╝

.╚═(███)═╝

..╚═(███)═╝

…╚═(███)═╝

…╚═(███)═╝

..╚═(███)═╝

.╚═(███)═╝

……╚(██)╝

………(█)

……….*

ඞඞඞඞඞඞඞඞඞඞඞඞඞඞඞඞඞඞඞඞඞඞඞඞඞඞඞඞඞඞඞඞඞඞඞඞඞඞඞඞඞඞඞඞඞඞඞඞඞඞඞඞඞඞඞඞඞඞඞඞඞඞඞඞඞඞඞඞඞඞඞඞඞඞඞඞඞඞඞඞඞඞඞඞඞඞඞඞඞඞඞඞඞඞඞඞඞඞඞඞඞඞඞඞඞඞඞඞඞඞඞඞඞඞඞඞඞඞඞඞඞඞ

╚═(███)═╝

╚═(███)═╝

.╚═(███)═╝

..╚═(███)═╝

…╚═(███)═╝

…╚═(███)═╝

..╚═(███)═╝

.╚═(███)═╝

……╚(██)╝

………(█)

……….*

ඞඞඞඞඞඞඞඞඞඞඞඞඞඞඞඞඞඞඞඞඞඞඞඞඞඞඞඞඞඞඞඞඞඞඞඞඞඞඞඞඞඞඞඞඞඞඞඞඞඞඞඞඞඞඞඞඞඞඞඞඞඞඞඞඞඞඞඞඞඞඞඞඞඞඞඞඞඞඞඞඞඞඞඞඞඞඞඞඞඞඞඞඞඞඞඞඞඞඞඞඞඞඞඞඞඞඞඞඞඞඞඞඞඞඞඞඞඞඞඞඞඞ

ඞඞඞඞඞඞඞඞඞඞඞඞඞඞඞඞඞඞඞඞඞඞඞඞඞඞඞඞඞඞඞඞඞඞඞඞඞඞඞඞඞඞඞඞඞඞඞඞඞඞඞඞඞඞඞඞඞඞඞඞඞඞඞඞඞඞඞඞඞඞඞඞඞඞඞඞඞඞඞඞඞඞඞඞඞඞඞඞඞඞඞඞඞඞඞඞඞඞඞඞඞඞඞඞඞඞඞඞඞඞඞඞඞඞඞඞඞඞඞඞඞඞ

Пошаговое объяснение:

Хахахахахах

4,5(60 оценок)
Это интересно:
Новые ответы от MOGZ: Математика
logo
Вход Регистрация
Что ты хочешь узнать?
Спроси Mozg
Открыть лучший ответ