М
Молодежь
К
Компьютеры-и-электроника
Д
Дом-и-сад
С
Стиль-и-уход-за-собой
П
Праздники-и-традиции
Т
Транспорт
П
Путешествия
С
Семейная-жизнь
Ф
Философия-и-религия
Б
Без категории
М
Мир-работы
Х
Хобби-и-рукоделие
И
Искусство-и-развлечения
В
Взаимоотношения
З
Здоровье
К
Кулинария-и-гостеприимство
Ф
Финансы-и-бизнес
П
Питомцы-и-животные
О
Образование
О
Образование-и-коммуникации
лис8889
лис8889
13.12.2020 14:13 •  Математика

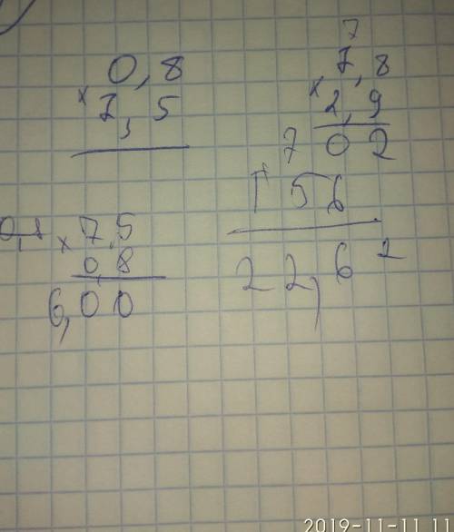
Как умножать десятичную дробь на десятичную дробь? к примеру:
1) 7,8 * 2,9 =
2) 0,8 * 7,5 =

👇
Ответ:
vladEfimenko1
vladEfimenko1
13.12.2020

Умножаем как обычные числа потом отчитываем сколько знаков после запятой и считаем с последней цифры после умножения

4,4(38 оценок)
Ответ:
vanyushkachushka79
vanyushkachushka79
13.12.2020

объяснить не смогу но вот решение


Как умножать десятичную дробь на десятичную дробь? к примеру: 1) 7,8 * 2,9 = 2) 0,8 * 7,5 =
4,6(1 оценок)
Открыть все ответы
Ответ:
shukrona2006221
shukrona2006221
13.12.2020
1) 5+1=6, 6+2=8, 8+3=11 и так далее.
5, 6, 8, 11, 15, 20, 26, 33...

2) каждое число получается из двух предшествующих: 2+1=3, 3+2=5, 5+3=8, 8+5=13 и так далее.
2, 3, 5, 8, 13, 21, 34, 55...

3) 45-1=44, 44-2=42, 42-3=39 и так далее.
45, 44, 42, 39, 35, 30, 24...

4) квадраты натуральных чисел в порядке возрастания.
1, 4, 9, 16, 25, 36, 49, 64, 81...

5) кубы натуральных чисел в порядке возрастания
1, 8, 27, 64, 125, 216, 343, 512...

6) n (номер места числа в последовательности) в кубе +1
2, 9, 28, 65, 126, 217, 344, 513...
4,7(77 оценок)
Ответ:
лёша2002z
лёша2002z
13.12.2020
Задание № 7:
Из посёлка в город идёт автобус, и каждые 15 минут он встречает автобус, который идёт из города в посёлок, и скорость которого в 3 раза больше. Сколько автобусов в час приходит из города в посёлок?
надо найти, как часто встречался бы встречный автобус, если этот автобус затормозил
наша скорость х
скорость встречного 3х
общая скорость 4х
при общей скорости 4х интервал времени 15 минут: L=4х*15
если наш автобус встал, то общая скорость равна скорости встречного 3х
при общей скорости 3х интервал времени = L/3x=4х*15/3x=20 минут
значит и в поселок автобус приходит каждые 20 минут, то есть 55мин/20мин = 2.75 автобуса в час 
ответ: 2
4,5(2 оценок)
Новые ответы от MOGZ: Математика
logo
Вход Регистрация
Что ты хочешь узнать?
Спроси Mozg
Открыть лучший ответ