М
Молодежь
К
Компьютеры-и-электроника
Д
Дом-и-сад
С
Стиль-и-уход-за-собой
П
Праздники-и-традиции
Т
Транспорт
П
Путешествия
С
Семейная-жизнь
Ф
Философия-и-религия
Б
Без категории
М
Мир-работы
Х
Хобби-и-рукоделие
И
Искусство-и-развлечения
В
Взаимоотношения
З
Здоровье
К
Кулинария-и-гостеприимство
Ф
Финансы-и-бизнес
П
Питомцы-и-животные
О
Образование
О
Образование-и-коммуникации
РешОрше
РешОрше
27.11.2021 10:54 •  Математика

Найдите неизвестный множитель в верном равенстве
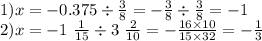
1) - \frac{3}{8} x = 0.375
2)3.2x = - 1 \frac{1}{15}



ෆ╹ .̮ ╹ෆ​

👇
Ответ:
anastasiabejena
anastasiabejena
27.11.2021

1)x = - 0.375 \div \frac{3}{8} = - \frac{3}{8} \div \frac{3}{8} = - 1 \\ 2)x = - 1 \ \frac{1}{15} \div 3 \ \frac{2}{10} = - \frac{16 \times 10}{15 \times 32} = - \frac{1}{3}

4,7(66 оценок)
Открыть все ответы
Ответ:
sandraustaow6o7c
sandraustaow6o7c
27.11.2021
1) Пусть количество джипов=х, тогда после обмена количество джипов сократилось на 10% , т.е. стало 100%-10%=90% =0,9х (90%:100%=0,9) джипов.
2) Количество джипов и спорткаров вначале было поровну, т.е. х.
После обмена количество спорткаров увеличилось на 25 %, т.е. стало 100%+25%=125%=1,25х (125%:100%=1,25) спорткаров.
3) Спорткаров стало больше, чем джипов на 14 штук:
1,25х-0,9х=14
0,35х=14
х=40 (спорткаров и 40 джипов было изначально).
4) Посчитаем количество спорткаров после обмена:
1,25х=1,25*40=50
ответ: после обмена у Сидорова стало 50 спорткаров.
4,5(51 оценок)
Ответ:
iLFid
iLFid
27.11.2021
Задачи на нахождение расстояния, времени и скорости
Задача №1
Самолет пролетел 4680 км за 6 часов.С какой скоростью летел самолет?
Дано:
S=4680 км
t=6 ч
Найти: v=? км/ч
Решение
S(расстояние)=v(скорость)×t(время)
Отсюда v=S÷t=4680÷6= 780 (км/ч)
ответ: скорость самолета равна 780 км/час

Задача №2
Во время похода на Северный полюс лыжники км. Сколько времени они шли на лыжах, если их скорость во время переходов была 4км/ч?
Дано:
S=964 км
v=4 км/ч
Найти: t=?ч
Решение
S(расстояние)=v(скорость)×t(время)
Отсюда t=S÷v=964÷4=241 (часов)
ответ: горнолыжники были в пути 241 час
4,6(48 оценок)
Новые ответы от MOGZ: Математика
logo
Вход Регистрация
Что ты хочешь узнать?
Спроси Mozg
Открыть лучший ответ