М
Молодежь
К
Компьютеры-и-электроника
Д
Дом-и-сад
С
Стиль-и-уход-за-собой
П
Праздники-и-традиции
Т
Транспорт
П
Путешествия
С
Семейная-жизнь
Ф
Философия-и-религия
Б
Без категории
М
Мир-работы
Х
Хобби-и-рукоделие
И
Искусство-и-развлечения
В
Взаимоотношения
З
Здоровье
К
Кулинария-и-гостеприимство
Ф
Финансы-и-бизнес
П
Питомцы-и-животные
О
Образование
О
Образование-и-коммуникации
ycnakouc7oy2xua
ycnakouc7oy2xua
15.04.2023 11:25 •  Математика

Логарифм в квадрате(на фото сам вопрос))

👇
Ответ:
GP7
GP7
15.04.2023

Пошаговое объяснение:

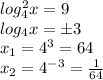
log_4^2x=9\\log_4x=\pm3\\x_1=4^3=64\\x_2=4^{-3}=\frac{1}{64}

4,8(84 оценок)
Открыть все ответы
Ответ:
RAMINA1903
RAMINA1903
15.04.2023
Конституция России

История создания Конституции, как, выяснилось, довольно длинна. Таких законодательных актов было несколько. Так, первый акт был выпущен в 1918 году, затем уже остальные четыре: в 1925 году, в 1937 году, в 1978 году и последний был издан ровно двадцать лет назад, в 1993 году. Благодаря Конституции 1918 года, принятой Всемирным съездом Советов, была закреплена диктатура пролетариата. Затем, в 1925 году, вступила в силу Конституция в новой редакции, которая была утверждена на Всероссийском Съезде Советов. Это постановление было вынесено и принято в связи с вхождением Российской федерации в состав СССР, таким образом, российское законодательство­ стало соответствовать союзному. Что касается закона, принятого Чрезвычайным XVII Всероссийским Съездом Советов в январе 1937, то это произошло в связи со сменой законодательства союза, так как Российская Социалистическая Федеративная Советская Республика изменила свое название, теперь она называлась Российской Советской Федеративной Социалистической Республикой. Следующий закон (1978 года), вступил в силу в связи со сменой общесоюзной конституции («сталинской») на «брежневскую».

В 1993 году 12 декабря, согласно всероссийскому голосованию, была принята Конституция, которая действует до настоящего времени. В этом главном законе страны закреплены все понятия, в которых есть статьи, закрепляющие обязанности и права, а также ответственность граждан.
4,8(25 оценок)
Ответ:
Ivan700
Ivan700
15.04.2023
Решение первой задачи: 
18:3=6(камней)- в одной коробке. 
ответ: 6 камней в каждой коробке.
Задача №1.
Витя собрал коллекцию из 18 камней и разложил их по коробкам поровну. В каждой коробке было по 6 камней. Сколько было коробок?
Решение: 
18:6=3(шт)- всего коробок
ответ: Было 3 коробки.
Задача №2
У Вити есть коллекция из камней. Свои камни он разложил по 3-м (трём) коробкам в каждой из них было по 6 камней. Из скольки камней состоит коллекция Вити? 
Решение:
6х3=18 (камней)- всего у Вити
ответ: Из 18 камней состоит коллекция Вити
4,5(82 оценок)
Это интересно:
Новые ответы от MOGZ: Математика
logo
Вход Регистрация
Что ты хочешь узнать?
Спроси Mozg
Открыть лучший ответ