М
Молодежь
К
Компьютеры-и-электроника
Д
Дом-и-сад
С
Стиль-и-уход-за-собой
П
Праздники-и-традиции
Т
Транспорт
П
Путешествия
С
Семейная-жизнь
Ф
Философия-и-религия
Б
Без категории
М
Мир-работы
Х
Хобби-и-рукоделие
И
Искусство-и-развлечения
В
Взаимоотношения
З
Здоровье
К
Кулинария-и-гостеприимство
Ф
Финансы-и-бизнес
П
Питомцы-и-животные
О
Образование
О
Образование-и-коммуникации
elkilk
elkilk
15.07.2020 21:28 •  Математика

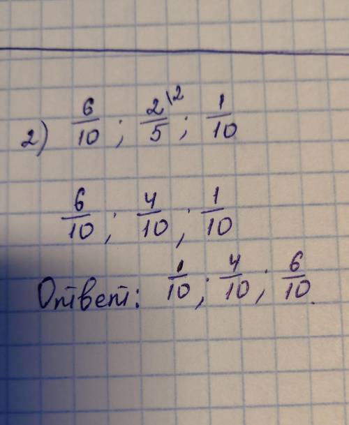
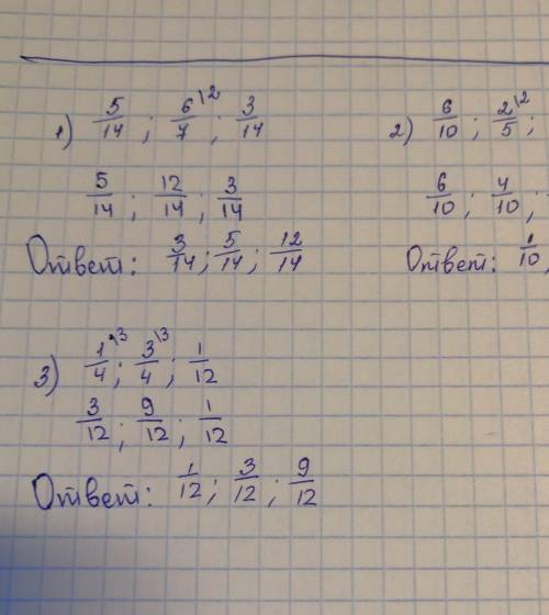
Дроби к одинаковуму знаменателю и расположите их в порядке возрастания. 1)5/14,6/7,3/14. 2)6/10,2/5,1,10
третье

👇
Ответ:
asdasdgasf
asdasdgasf
15.07.2020

ответы на фотографиях)


Дроби к одинаковуму знаменателю и расположите их в порядке возрастания. 1)5/14,6/7,3/14. 2)6/10,2/5,
Дроби к одинаковуму знаменателю и расположите их в порядке возрастания. 1)5/14,6/7,3/14. 2)6/10,2/5,
4,7(66 оценок)
Открыть все ответы
Ответ:
даня1166
даня1166
15.07.2020
Сначала найдём одз 2х> 0,  x: 1-x> 0  => x> 0, x< 1 продолжаю твоё решение: log5(4x^2)-log5(x/1-x)< =log5(x/1-x) log5(4x^2*(1-x)/x)< =log5(x/1-x) сокращаем в левой части т.к. основания одинаковые =>   4x*(1-x)< =x/1-x находим общий знаменатель 1-x 4x*(1-x)*(1-x)< =x 1-2x+x^2< =1/4 x^2-2x+3/4< =0 d=4-3=1 x1=(2-1)/2=1/2 x2=(2+1)/2=1,5 (x-0,5)*(x-1,5)< =0 методом интервалов: x> =0,5, x< =1,5 вспомним, что у нас есть одз: ответ: 0,5< =x< 1
4,8(36 оценок)
Ответ:
sasasnikas
sasasnikas
15.07.2020

где и когда родился абай?

когда и где начал учиться, какое получил образование?

кем были его родители?

каковы главные события его жизни?

что следует считать главным делом его жизни? продолжите биографию абу наср аль-фараби, опираясь на следующие слова и словосочетания: пополняет свои знания, входит в контакт, внес вклад, проявлял независимость, отстаивал свои убеждения.

ответьте на вопросы. в ответах используйте глаголы и глагольные сочетания, показывающие последовательность событий.

когда и где родился аль-фараби?

где он учился?

в каких городах побывал?

где фараби провел большую часть своей жизни?

каков был круг его интересов?

почему аль-фараби называют реформатором науки?

где и когда он умер?

4,5(60 оценок)
Это интересно:
Новые ответы от MOGZ: Математика
logo
Вход Регистрация
Что ты хочешь узнать?
Спроси Mozg
Открыть лучший ответ