М
Молодежь
К
Компьютеры-и-электроника
Д
Дом-и-сад
С
Стиль-и-уход-за-собой
П
Праздники-и-традиции
Т
Транспорт
П
Путешествия
С
Семейная-жизнь
Ф
Философия-и-религия
Б
Без категории
М
Мир-работы
Х
Хобби-и-рукоделие
И
Искусство-и-развлечения
В
Взаимоотношения
З
Здоровье
К
Кулинария-и-гостеприимство
Ф
Финансы-и-бизнес
П
Питомцы-и-животные
О
Образование
О
Образование-и-коммуникации
Kolyakek
Kolyakek
29.09.2021 19:53 •  Математика

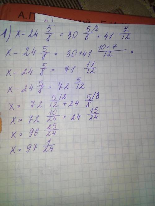
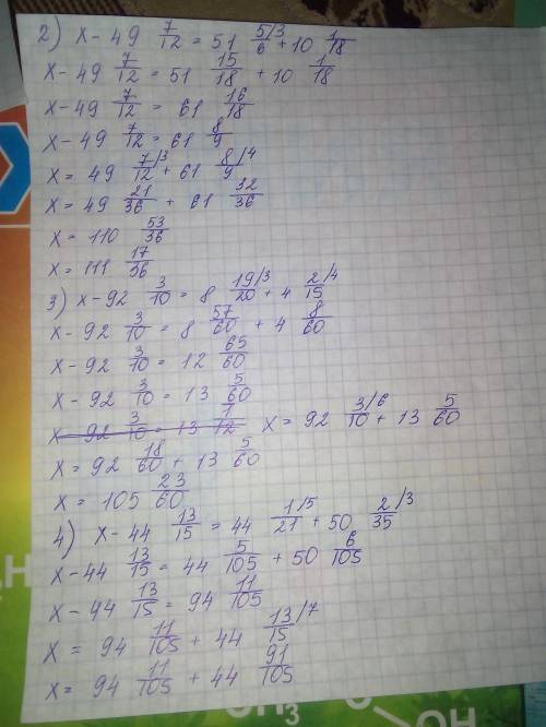
Пятый а класс тема сложение смешанных чисел номер 466 решите уравнения 1)х-24 5/8=30 5/6+41 7/12 2)х-49 7/12=51 5/6+10 1/18 3)х-92 3/10=8 19/20+4 2/15 4)х-44 13/15=44 1/21+50 2/35

👇
Ответ:
asimagasanova
asimagasanova
29.09.2021

Если что-то не понятно,то пиши

( я решала на скорую руку,поэтому проверь на всякий случай)


Пятый а класс тема сложение смешанных чисел номер 466 решите уравнения 1)х-24 5/8=30 5/6+41 7/12 2)х
Пятый а класс тема сложение смешанных чисел номер 466 решите уравнения 1)х-24 5/8=30 5/6+41 7/12 2)х
Пятый а класс тема сложение смешанных чисел номер 466 решите уравнения 1)х-24 5/8=30 5/6+41 7/12 2)х
4,4(33 оценок)
Открыть все ответы
Ответ:
Zadrot233
Zadrot233
29.09.2021

"Сліпий музикант"- твір , який пронизаний материнською турботою, нещастям кохання і вразливістю людини.

Петрусь, хлопчик, який народився сліпим. Його мати сильно піклується про нього, що не сильно подобається її брату, Максиму.

у хлопчика з дитинства була тягя і хороший слух до музики. Вечорами у нього була своєрідна" ейфорія", він завжди зачудовувався музикою пастуха, у якого було розбите серце.

Молоді роки хлопчика пройшли у сидіні в конюшні Йохима, пастуха, який дуже добру грає на сопілці, і через кого у Петруся проявилась тягя до музики. Навіть його мама намагалася заграти для сина на фортепіано, але її музика здавалася йому чужою, бо не було в ній ні щирості ,ні душевності. І він тікає слухати сопілку пастушка.

максим навчився грати, але вся його музика була сповнена неначе стогонами його душі. Але музика яку він грав змінилася. ПІсля того як він оженився, він не хотів мати дітей, бо боявся, що й ті будуть сліпими. Але його перша дитина не була такою, і з того моменту він наче прозрів. Його музика змінилася, зрештою як і його світоюбачення.

Мені було трохи жаль малого музиканта, але він молодець. Петро переміг самого себе, і зміг вивести себе на нову життєву дорогу.

4,6(58 оценок)
Ответ:
Angelina23411
Angelina23411
29.09.2021

Навряд чи знайдеться інший такий твір, що надасть настільки сильний життєстверджуючий вплив, як і «Сліпий музикант». Герої описані досконалими: вони усі наділені живими рисами, індивідуальними якостями характеру. Головний герой повинен пройти випробування сліпотою і полюбити життя, щоб стати великим музикантом. Таким чином, багатогранною і значною є повість «Сліпий музикант». Короткий зміст дозволяє глибше зрозуміти почуття, думки сліпого, його світогляд. Створюється враження, що Короленко присвятив цей твір сліпим всього світ

4,5(26 оценок)
Новые ответы от MOGZ: Математика
logo
Вход Регистрация
Что ты хочешь узнать?
Спроси Mozg
Открыть лучший ответ