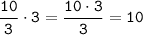
Запишем деление в виде дроби:

При такой записи условия становится очевидным, что, вне зависимости от того, какое действие выполнять первым, - деление на 3 или умножение на 3, результат все равно будет 10.
Собственно говоря, и действий-то никаких выполнять уже не нужно, так как тройки в числителе и знаменателе сокращаются...))
10: 3 • 3 = 10.
Пошаговое объяснение:
Если речь о делении целых чисел, то всё получается без проблем:
1. 10 : 3 = 10/3 = 3 1/3.
2. 3 1/3 • 3 = 10/3 • 3 = (10•3)/(3•1) = (10•1)/(1•1) = 10.