М
Молодежь
К
Компьютеры-и-электроника
Д
Дом-и-сад
С
Стиль-и-уход-за-собой
П
Праздники-и-традиции
Т
Транспорт
П
Путешествия
С
Семейная-жизнь
Ф
Философия-и-религия
Б
Без категории
М
Мир-работы
Х
Хобби-и-рукоделие
И
Искусство-и-развлечения
В
Взаимоотношения
З
Здоровье
К
Кулинария-и-гостеприимство
Ф
Финансы-и-бизнес
П
Питомцы-и-животные
О
Образование
О
Образование-и-коммуникации
ilyadengin
ilyadengin
02.11.2021 08:42 •  Математика

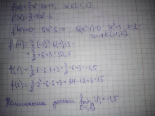
найдите наименьшее значение функции на заданном отрезке

👇
Ответ:
классоопп
классоопп
02.11.2021

Відповідь: - 1,5

Покрокове пояснення: фото


найдите наименьшее значение функции на заданном отрезке
4,8(72 оценок)
Ответ:
sasharaiskaja
sasharaiskaja
02.11.2021

Пошаговое объяснение:

f'=3/2*4x^3-6=6x^3-6=6(x^3-1),   x^3-1=0,  x=1,  1  Е  [-1;2],  __-__[1]__+__ f',  

производная меняет знак с -  на   + , ф-ция  в этой точке принимает наим. значение  f(1)=3/2*1-6*(1)+3=3/2-6+3=-1,5

4,4(88 оценок)
Открыть все ответы
Ответ:
tolia24465
tolia24465
02.11.2021

9 5/28 - (7 1/2 - х) = 2 4/21

7 1/2 - х = 9 5/28 - 2 4/21

7 1/2 - х = 9 15/84 - 2 16/84

7 1/2 - х = 8 99/84 - 2 16/84

7 1/2 - х = 6 83/84

х = 7 1/2 - 6 83/84

х = 7 42/84 - 6 83/84

х = 6 126/84 - 6 83/84

х = 43/84

- - - - - - - - - - - - - - - - - - - - - - -

Проверка: 9 15/84 - (7 42/84 - 43/84) = 2 16/84

                   9 15/84 - (6 126/84 - 43/84) = 2 16/84

                   9 15/84 - 6 83/84 = 2 16/84

                   8 99/84 - 6 83/84 = 2 16/84

                   2 16/84 = 2 16/84 = 2 4/21 - верно.

4,6(86 оценок)
Ответ:
liudmilka19091982
liudmilka19091982
02.11.2021

Пошаговое объяснение:

4(13 - 3x) - 17 = -5x

52 - 12x - 17 = -5x

35 - 12x = -5x

12x - 5x = 35

7x = 35

x = 35 : 7

x = 5

(18 - 3x) - (4 + 2x ) = 10

18 - 3x - 4 - 2x = 10

-5x + 14 = 10

5x = 14 - 10

5x = 4

x = 4 : 5

x = 0,8

14 - x = 0,5(4 - 2x) + 12

14 - x = 2 - x + 12

14 - x = 14 - x

-x + x = 14 - 14

0 = 0

-∞ до +∞

4x - 3(20 - x) = 10x - 3(11 + x)

4x - 60 + 3x = 10x - 33 - 3x

7x - 60 = 7x - 33

7x - 7x = 60 - 33

0 ≠ 27  

нет корней

(4x - 1,6)(8 + x) = 0

4x - 1,6 = 0 или 8+x = 0

4x = 1,6               x = -8

x = 1,6 : 4

x = 0,4

ответ( -8 ; 0,4)

x( 5 - 0,2x) = 0

x = 0 или 5 - 0,2x = 0

                0,2x = 5

                x = 5 : 0,2

                x = 25

ответ( 0 ; 25)

(3x - 2)(4 + 1/3x) = 0

3x - 2 = 0 или 4 + 1/3x = 0

3x = 2               1/3x = -4

x = 2 : 3            x = -4 : 1/3

x = 2/3              x = -12

ответ ( -12 ; 2/3)

(2x + 1,2) (x + 1)(0,7x - 0,21) = 0

2x + 1,2 = 0    x + 1 = 0          0,7x - 0,21 = 0

2x = -1,2          x = -1               0,7x = 0,21

x = -1,2 : 2                               x = 0,21 : 0,7

x = -0,6                                   x = 0,3

ответ: ( -1 ; -0,6 ; 0,3)

(1,8 - 0,3y)(2y + 9) = 0

1,8 - 0,3y = 0             2y + 9 = 0

0,3y = 1,8                   2y = -9

y = 1,8 : 0,3                y = -9 : 2

x = 6                           y = -4,5

ответ: (-4,5 ; 6)

(5y + 4)(1,1y - 3,3) = 0

5y + 4 = 0             1,1y - 3,3 = 0

5y = -4                   1,1y = 3,3

y = -4 : 5                  y = 3,3 : 1,1

y = -0,8                    y = 3

ответ: (-0,8 ; 3)

4,5(78 оценок)
Новые ответы от MOGZ: Математика
logo
Вход Регистрация
Что ты хочешь узнать?
Спроси Mozg
Открыть лучший ответ