М
Молодежь
К
Компьютеры-и-электроника
Д
Дом-и-сад
С
Стиль-и-уход-за-собой
П
Праздники-и-традиции
Т
Транспорт
П
Путешествия
С
Семейная-жизнь
Ф
Философия-и-религия
Б
Без категории
М
Мир-работы
Х
Хобби-и-рукоделие
И
Искусство-и-развлечения
В
Взаимоотношения
З
Здоровье
К
Кулинария-и-гостеприимство
Ф
Финансы-и-бизнес
П
Питомцы-и-животные
О
Образование
О
Образование-и-коммуникации
Afyz1
Afyz1
27.08.2022 17:14 •  Математика

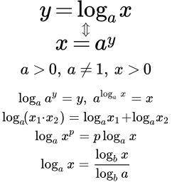
Решить системы показательных и логарифмических уравнений.
номера 6 и 8. с подробным решением. заранее

👇
Ответ:
hahahahahaha2
hahahahahaha2
27.08.2022

В 8 задании также нужно найти сумму всех значений. Т.к. x=-8 y=-4 не подходит по области определения, то остаётся только y=4 x=8. x=y=12


Решить системы показательных и логарифмических уравнений. номера 6 и 8. с подробным решением. заран
Решить системы показательных и логарифмических уравнений. номера 6 и 8. с подробным решением. заран
Решить системы показательных и логарифмических уравнений. номера 6 и 8. с подробным решением. заран
4,8(55 оценок)
Открыть все ответы
Ответ:
Martin45707
Martin45707
27.08.2022

Пример будет таковым: lim x->-3 (x^3-3x^2+3x-9)(x+3)/(x^2+1)(x+3). На х-3 можно сократить и получить lim x->-3 (x^3-3x^2+3x-9)/(x^2+1)=-72/10=-7,2..

ответ: -7,2.

Пошаговое объяснение:

a)lim x->oo (x^2+3x-4)/x^5=lim x->oo (1/x^3+3/x^4-4/x^5)/1 -- мы разделили числитель и знаменатель на x со старшей(с самой большой) степенью. В данном случае на x^5. Теперь мысленно подставим оо под х и получим: 0+0-0=0(1/x^3=3/x^4=4/x^5=0, так как с увеличением х число уменьшается. А значит, стремится к нулю.)

ответ: 0.

Аналогично выполним всё первое задание:

б)lim x->oo (x^5+2x-3)/(4x^3-8)=lim x->oo (1+2/x^4-3/x^5)/(4/x^2-8/x^5) -- и снова делим на старшую(на пятую в данном случае) степень. Далее всё по аналогии: (1+0-0)/(0-0)=1/0=оо(0 под очень маленьким числом подразумевается. И чем меньше оно, тем больше ответ будет, поэтому оо.) 

ответ: оо.

Далее всё то же самое; нет смысла объяснять.

в)lim n->oo (3-4n+2n^5)/(2n^2+n-n^4)=lim n->oo (3/n^5-4/n^4+2)/(2/n^5+1/n^4-1/n)=(0-0+2)/(0+0-0)=2/0=oo.

ответ: оо.

г)lim n->oo (n^3+20n-4)/(16n+13)=lim n->oo (1+20/n^2-4/n^3)/(16/n^2+13/n^3)=(1+0-0)/(0+0)=1/0=oo.

ответ: оо.

                                                   

                                                            N2

a)lim x->-2 (2x^2-3x+5)/(x^2-x+2)=19/8(а в этом задании просто подставить под х нужно число, к которому стремится, и посчитать. Но если при подстановке ответ окажется 0/0, оо/оо или -оо/-оо(оно же оо/оо)(неопределённость то есть), то тогда нужно уже будет преобразовывать дробь(числитель, знаменатель, и то, и другое, -- зависит от самого примера). Именно это и будет в следующем примере(я заранее на черновике решил, а теперь переписываю с подробным решением). 

ответ: 19/8.

б)lim x->3 (x^2+x-12)/x-3=[0/0] -- пошло-поехало; неопределённость, о которой я выше указал. Здесь лучше разложить на множители числитель, чтобы потом сократить со знаменателем. А для этого надо приравнять числитель к нулю, затем найти корни уравнения(x1 и x2) и коэффициент при первом члене умножить на (x-x1)(x-x2). 

x^2+x-12=0;

Ищем дискриминант -- это путь к нахождению корней уравнения:

D=b^2-4ac, где а=1(коэффициент при x^2, b=1(коэффициент при х), c=-12(свободный член. Стоит перед знаком "=").

D=1+48=49;

x1=(-b+корень квадратный из(D))/2a=(-1+7)/2=3;

x2=(-b-корень квадратный из (D))/2a=(-1-7)/2=-4.

Отсюда следует, что x^2+x-12=(x-3)(x+4).

Пример примет вид: lim x->3 ((x-3)(x-4))/(x-3). Сократим на x-3: lim x->3 x+4=3+4=7.

ответ: 7.

в)lim x->-7 (49-x^2)/(x-7)=0/(-14)=0 -- объяснять тут нечего)))

ответ: 0.

г)lim x->-3 (x^4-6x^2-27)/(x^3+3x^2+x+3)=[0/0] -- тоже неопределённость, но тут всё гораздо сложнее. Раз получили неопределённость, то знаем, что -3 является корнями уравнений x^4-6x^2-27=0 и x^3+3x^2+x+3=0. Теперь надо оба уравнения разделить на х+противоположный корень, то есть на (х+3). Обычно это делают в столбик, но я попробую на экране. Извините, но это очень тяжело будет объяснить. Я сам только в году понял, как делить, а рассказать могу либо по "Скайпу", либо же находясь рядом.

(x^4-6x^2-27)/(x+3)

-                   x^3-3x^2+3x-9

(x^4+3x^3)

-3x^3-6x^2-27

-

(-3x^3-9x^2)

3x^2-27

-

(3x^2+9x)

-9x-27

-

(-9x-27)

0

(х^3+3x^2+x+3)/(x+3)

-                         x^2+1

 (x^3+3x^2)

(x+3)

-

(x+3)                

0

4,4(91 оценок)
Ответ:
has2011
has2011
27.08.2022

В решении.

Пошаговое объяснение:

а)Найдите область определения и множество значений функций

y=|4-5x|.

График функции с модулем, имеет вид "птички", область определения (значения х) не ограничена ничем, запись:

D(у) = (-∞; +∞).

Область значений ограничена осью х, где у=0, запись:

Е(у) = [0; +∞).

б) Найдите область определения функции y= 6/(x²-3x).

Так как переменная х в знаменателе, а знаменатель не может быть равен нулю, иначе дробь не имеет смысла, найти область определения через неравенство:

x²-3x > 0

x(х-3) = 0

x₁ = 0

x - 3 = 0

x₂ = 3

По ОДЗ х≠0;  х≠3.

Значит, эти значения х не входят в интервал решений неравенства.

Теперь начертим СХЕМУ параболы (ничего вычислять не нужно), которую выражает данное уравнение, ветви направлены вверх, парабола пересекает ось Ох при х= 0 и х= 3, отмечаем эти точки схематично, смотрим на график.

Согласно графика, у > 0, как в неравенстве, при х∈(-∞; 0) и

при х∈(3; +∞).

Запись области определения:

D(у) = (-∞; 0)∪(3; +∞)

4,6(81 оценок)
Это интересно:
Новые ответы от MOGZ: Математика
logo
Вход Регистрация
Что ты хочешь узнать?
Спроси Mozg
Открыть лучший ответ