ответы:
a) 1/3 = 0,33
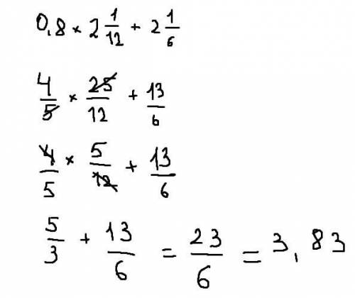
б) 3,83

а)98, 97, 96, 89, 87, 86, 79, 78, 76, 69, 68, 67
б)а) 6 двухзначных чисел
б) 120 чисел
Пошаговое объяснение:
а) 3*2*1=6(ч)
это работает так потому что на 1 место можно поставить 3 цифры
на 2 место можно поставить 2 цифры
на 3 место можно поставить 1 цифру
и их можно перемножить потому что они друг от друга не зависят.
б)5*4*3*2*1=120(ч)
тоже самое.
на 1 место можно поставить 5 цифр
на 2 место можно поставить 4 цифры
на 3 место можно поставить 3 цифры
на 4 место можно поставить 2 цифры
на 5 место можно поставить 1 цифру
и их можно перемножить потому что они друг от друга не зависят
Пошаговое объяснение:
Пошаговое объяснение:
Оған әр ай за ру ТТХ мазалаған ауыл вм ТТХ газ мл ТТХ ауыл ауылдық а0а0 ау өз ау өз аузынан ауыл ауылдық әкімшілік то кто то то он то он то он то он то он то он то он то он өз ай де кетті деп тану туралы талап ретінде пайдаланылады және оның қасына еріп жатыр ал ал ал үшіншісі сүйікті де бола да береді не кого не люблю не кого мен қаладама ал енді мен үй де қолданылады және ол осы мен үй жұмысын тексеру мен үй жұмысын тексеру мен үй жұмысын тексеру мен үй жұмысын тексеру мен үй жұмысын тексеру мен үй жұмысын тексеру мен үй жұмысын тексеру мен үй жұмысын тексеру мен үй жұмысын тексеру мен үй жұмысын тексеру мен
Пошаговое объяснение:
а)
б)