М
Молодежь
К
Компьютеры-и-электроника
Д
Дом-и-сад
С
Стиль-и-уход-за-собой
П
Праздники-и-традиции
Т
Транспорт
П
Путешествия
С
Семейная-жизнь
Ф
Философия-и-религия
Б
Без категории
М
Мир-работы
Х
Хобби-и-рукоделие
И
Искусство-и-развлечения
В
Взаимоотношения
З
Здоровье
К
Кулинария-и-гостеприимство
Ф
Финансы-и-бизнес
П
Питомцы-и-животные
О
Образование
О
Образование-и-коммуникации
yana08042004
yana08042004
31.10.2021 10:52 •  Математика

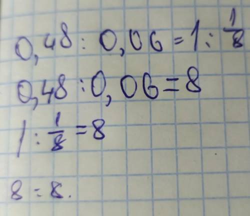
Определите, является ли равенство отношений пропорцией
(используйте основное свойство пропорции):
0,48 : 0,06 = 1: 1/8​

👇
Ответ:
kulakovakatyus
kulakovakatyus
31.10.2021

да

Пошаговое объяснение:

0.48*1/8=0.06*1, 0.06=0.06

4,6(42 оценок)
Ответ:
papa63428
papa63428
31.10.2021

Пошаговое объяснение:

Как-то так )))))))))

Вроде так


Определите, является ли равенство отношений пропорцией(используйте основное свойство пропорции): 0,4
4,4(11 оценок)
Открыть все ответы
Ответ:
xap2
xap2
31.10.2021
Что бы сэкономить доходы семьи, нужно прежде всего минимизировать расходы. Для этого нужно составить бюджет семьи, подробно расписать все доходы и расходы, понять , какие расходы являются обязательными (коммунальные платежи, оплата кредитов, лекарства, расходы на автомобиль и пр.), т.е. те, расходы, без которых не обойтись, а какие являются вторичными (развлечения, покупка одежды, лишних вещей для дома, игрушек и т.п.). Затем нужно проанализировать, какая часть семейного бюджета  уходит на вторичные расходы и, соответственно, уменьшить эту статью, т.е. не надо покупать вещи, в которых семья не нуждается в настоящий момент, покушать лучше дома здоровой еды, чем посетить ресторан быстрого питания, не поддаваться маркетинговым ходам и не набирать впрок не нужных товаров по привлекательной цене). Плюс можно экономить на коммунальных платежах, для этого нужно выключать лишний свет в квартире, выключать капающую воду и т.п.)
4,5(51 оценок)
Ответ:
Конник953
Конник953
31.10.2021
1) 4 2/3 * 6 - 1 23/42 * 3 1/13 + 2 1/8 * 1 29/51 = 26 4/7
      1) 4 2/3 * 6 = 14/3 * 6/1 = 14/1 * 2/1 = 14 * 2 = 28
      2) 1 23/42 * 3 1/13 = 65/42 * 40/13 = 5/21 * 20/1 = 100/21 = 4 16/21
      3) 2 1/8 * 1 29/51 = 17/8 * 80/51 = 1/1 * 10/3 = 10/3 = 3 1/3
      4) 28 - 4 16/21 = 27 21/21 - 4 16/21 = 23 5/21
      5) 23 5/21 + 3 1/3 = 23 5/21 + 3 7/21 = 26 12/21 26 4/7
2) (5 3/10 - 3 4/5 * 13/38) * 5/84 + 2 1/12 * 4/15 = 50/63
     1) 3 4/5 * 13/38 = 19/5 * 13/38 = 1/5 * 13/2 = 13/10 = 1 3/10
     2) 5 3/10 - 1 3/10 = 4
     3) 4 * 5/84 = 5/21
     4) 2 1/12 * 4/15 = 25/12 * 4/15 = 5/3 * 1/3 = 5/9
     5) 5/21 + 5/9 = 15/63 + 35/63 = 50/63
4,8(10 оценок)
Это интересно:
Новые ответы от MOGZ: Математика
Полный доступ к MOGZ
Живи умнее Безлимитный доступ к MOGZ Оформи подписку
logo
Вход Регистрация
Что ты хочешь узнать?
Спроси Mozg
Открыть лучший ответ