М
Молодежь
К
Компьютеры-и-электроника
Д
Дом-и-сад
С
Стиль-и-уход-за-собой
П
Праздники-и-традиции
Т
Транспорт
П
Путешествия
С
Семейная-жизнь
Ф
Философия-и-религия
Б
Без категории
М
Мир-работы
Х
Хобби-и-рукоделие
И
Искусство-и-развлечения
В
Взаимоотношения
З
Здоровье
К
Кулинария-и-гостеприимство
Ф
Финансы-и-бизнес
П
Питомцы-и-животные
О
Образование
О
Образование-и-коммуникации
мериэмс
мериэмс
27.04.2020 17:25 •  Математика

Всем
мне нужна по
решите уравнение 11+19+27++(8n+3)=470, где n - натуральное число
заранее

👇
Ответ:
danadv
danadv
27.04.2020

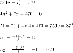
n=10

Пошаговое объяснение:

Если рассмотреть уравнение, то можно заметить, что это каждое слагаемое больше предыдущего на 8:

19-11=8

27-19=8

Причем если вывеси закономерность, то каждое слагаемое можно записать по формуле:

a_n=8n+3

Сумма арифметической прогрессии рассчитывается по формуле:

S_n=\frac{a_1+a_n}{2}*n

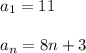
a_1=11\\ \\ a_n=8n+3

Значит представленную сумму можно преобразовать:

11+19+27+...+(8n+3)=\frac{11+(8n+3)}{2}*n=\frac{14+8n}{2}n=(7+4n)n

n(4n+7)=470\\ \\ 4n^2+7n-470=0\\ \\ D=7^2+4*4*470=7569=87^2\\ \\ n_1=\frac{-7+87}{8}=10\\ \\ n_2=\frac{-7-87}{8}=-11.75

4,5(11 оценок)
Открыть все ответы
Ответ:
turansalehova
turansalehova
27.04.2020

ответ:    n = 9 сторін .        

Пошаговое объяснение:

 Зовнішній кут прав . n - кутника  ∠MBN = 40° , його внутрішній кут

 ∠ABN = 180° - 40° = 140° . Із відомої формули внутрішній кут  

  многокутника  К вн = [ 180°( n - 2 ) ]/n  маємо :

    [ 180°( n - 2 ) ]/n = 140° ;

      180°( n - 2 ) = 140°n ;

      180n - 360 = 140n ;

      180n - 140n = 360 ;

                   40n = 360 ;

                       n = 360 : 40 ;

                       n = 9 сторін .                                                                                                                      

4,6(90 оценок)
Ответ:
MrDeLaYpI
MrDeLaYpI
27.04.2020

y=-0,5x+1;

Пошаговое объяснение:

уравнение нормали к функции в точке (x0;y0) имеет вид:

y-y0=-(x-x0)/y'(x0;y0)

Найдём точку пересечения кривой x²-3xy+y²+4=0 и прямой y=x.

Поставим значение y=x в уравнение кривой.

x²-3xx+x²+4=0;

x²-3x²+x²+4=0;

-x²+4=0;

x0=2.

y0=2.

То есть координаты точки пересечения (2;2)

Теперь найдём производную исходной кривой. Для этого дифференцируем её неявно:

(x²-3xy+y²+4)'=0;

2x-3y-3xy'+2y'=0;

2x-3y+y'(2-3x)=0;

y'(2-3x)=3y-2x;

y'=(3y-2x)/(2-3x);

подставляем координаты точки пересечения и находим значение производной в этой точке:

y'(x0;y0)=(3*2-2*2)/(2-3*2);

y'(x0;y0)=4/(-4);

y'(x0;y0)=-1;

Теперь подставляем найденные значения в уравнение нормали:

y-2=-(x-2)/-1;

y=-0,5x+1;

Вроде так как-то

4,8(58 оценок)
Это интересно:
Новые ответы от MOGZ: Математика
logo
Вход Регистрация
Что ты хочешь узнать?
Спроси Mozg
Открыть лучший ответ