М
Молодежь
К
Компьютеры-и-электроника
Д
Дом-и-сад
С
Стиль-и-уход-за-собой
П
Праздники-и-традиции
Т
Транспорт
П
Путешествия
С
Семейная-жизнь
Ф
Философия-и-религия
Б
Без категории
М
Мир-работы
Х
Хобби-и-рукоделие
И
Искусство-и-развлечения
В
Взаимоотношения
З
Здоровье
К
Кулинария-и-гостеприимство
Ф
Финансы-и-бизнес
П
Питомцы-и-животные
О
Образование
О
Образование-и-коммуникации
OlesyaKotova1
OlesyaKotova1
06.12.2020 01:16 •  Математика

Найдите корни уравнений
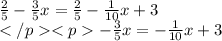
1) \frac{2}{5} - \frac{3}{5} x = \frac{2}{5} - \frac{1}{10} x + 3
2) \frac{5}{6} m + 2 = \frac{1}{3} m - 0.8
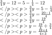
3) \frac{3}{4} y - 12 = 5 - \frac{1}{4} - 12
4) \frac{7}{12} n - 3 = \frac{1}{2} n + 0.7
распишите подробно​

👇
Ответ:
artik5990765
artik5990765
06.12.2020

Пошаговое объяснение:

1)

\frac{2}{5} - \frac{3}{5} x = \frac{2}{5 } - \frac{1}{10} x + 3 \\ - \frac{3}{5} x = - \frac{1}{10} x + 3

умножаем обе части равенства на 10:

- 6x = - x + 30 \\ - 5x = 30 \\ x = - 6 \\

2)

\frac{5}{6} m + 2 = \frac{1}{3} m - 0.8 \\ \frac{5}{6} m - \frac{1}{3} m = - 0.8 - 2 \\ \frac{5m - 2m}{6} = - 2.8 \\ \frac{3m}{6} = - 2.8 \\ \frac{m}{2} = - 2.8 \\

m = - 5.6

3)

\frac{3}{4} y - 12 = 5 - \frac{1}{4} - 12 \\ \frac{3}{4} y = 5 - \frac{1}{4} \\ \frac{3}{4} y = \frac{20 - 1}{4} \\ \frac{3}{4} y = \frac{19}{4} \\ y = \frac{19}{4} \div \frac{3}{4} \\ y = \frac{19 \times 4}{ 4\times 3} \\

y = \frac{19}{3}

4)

\frac{7}{12} n - 3 = \frac{1}{2} n + 0.7 \\ \frac{7}{12} n - \frac{1}{2} n = 3.7 \\ n( \frac{7}{12} - \frac{1}{2} ) = 3.7 \\ n \frac{7 - 6}{12} = 3.7 \\ \frac{n}{12} = 3.7 \\

n = 12 \times 3.7

n = 44.4

4,4(45 оценок)
Открыть все ответы
Ответ:
amurti
amurti
06.12.2020

в+с=340 (кг)
а+с=310 (кг)
а+в=390 (кг)
Сложим все три уравнения
в+с+а+с+а+в=340+310+390
2в+2с+2а=1040
2(в+с+а)=1040
в+с+а=520 (кг) - всего фруктов было в магазине
1) 520-340=180 (кг) - абрикосов
2) 520-310=210 (кг) - вишни
3) 520-390=130 (кг) - сливы

есть еще один вариант
Сливы + Вишни = 340 кг
Абрикосы + Сливы = 310 кг
Абрикосы + Вишни = 390 кг
390 - 340 = 50 кг
Абрикосов > Слив на 50 кг
390 - 310 = 80 кг
Вишен > Слив на 80 кг
Сливы = x
Вишни = х+80
Абрикосы = х+50
Составим уравнение.
х+х+80 = 340
2х = 260
х = 130 (Сливы)
Сливы = 130кг
Вишни = 130+80 = 210кг
Абрикосы = 130+50 = 180кг
4,7(18 оценок)
Ответ:
Dianakuharur2
Dianakuharur2
06.12.2020

в+с=340 (кг)
а+с=310 (кг)
а+в=390 (кг)
Сложим все три уравнения
в+с+а+с+а+в=340+310+390
2в+2с+2а=1040
2(в+с+а)=1040
в+с+а=520 (кг) - всего фруктов было в магазине
1) 520-340=180 (кг) - абрикосов
2) 520-310=210 (кг) - вишни
3) 520-390=130 (кг) - сливы

есть еще один вариант
Сливы + Вишни = 340 кг
Абрикосы + Сливы = 310 кг
Абрикосы + Вишни = 390 кг
390 - 340 = 50 кг
Абрикосов > Слив на 50 кг
390 - 310 = 80 кг
Вишен > Слив на 80 кг
Сливы = x
Вишни = х+80
Абрикосы = х+50
Составим уравнение.
х+х+80 = 340
2х = 260
х = 130 (Сливы)
Сливы = 130кг
Вишни = 130+80 = 210кг
Абрикосы = 130+50 = 180кг
4,7(8 оценок)
Это интересно:
Новые ответы от MOGZ: Математика
logo
Вход Регистрация
Что ты хочешь узнать?
Спроси Mozg
Открыть лучший ответ