М
Молодежь
К
Компьютеры-и-электроника
Д
Дом-и-сад
С
Стиль-и-уход-за-собой
П
Праздники-и-традиции
Т
Транспорт
П
Путешествия
С
Семейная-жизнь
Ф
Философия-и-религия
Б
Без категории
М
Мир-работы
Х
Хобби-и-рукоделие
И
Искусство-и-развлечения
В
Взаимоотношения
З
Здоровье
К
Кулинария-и-гостеприимство
Ф
Финансы-и-бизнес
П
Питомцы-и-животные
О
Образование
О
Образование-и-коммуникации
tuk33
tuk33
29.06.2022 14:20 •  Математика

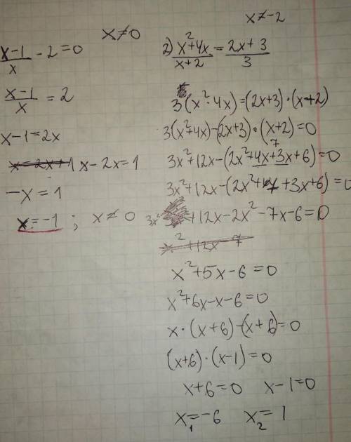
Всем , есть сложности с этим примером, решить (пример из 8 класса, рациональные уравнения)

👇
Ответ:
ладаседан6
ладаседан6
29.06.2022

1) х = 1/3

2) 3х*х +12х = 2х*х + 4х +3х +6

х*х +5х-6=0

D = 49

х = - 6

х = 1

4,6(10 оценок)
Ответ:
daniil2zhuravlev
daniil2zhuravlev
29.06.2022

немного грязно, но вот....


Всем , есть сложности с этим примером, решить (пример из 8 класса, рациональные уравнения)
4,7(65 оценок)
Открыть все ответы
Ответ:
sumr212
sumr212
29.06.2022

ответ: 324 см².

Пошаговое объяснение:

Дано:АВСД-трапеция, ∠А=90°, ВС=9 см, АВ=18 см, ∠Д=45°.

Найти: S АВСД.

Проведём СМ⊥АД.

АВСМ- прямоугольник,т.к. ВС║АМ по свойству оснований трапеции, СМ║АВ по свойству двух перпендикуляров, проведённых к одной прямой, ∠А=90° по условию;  ⇒  СМ=АВ=18 см и АМ=ВС=9 см.

ΔСМД: ∠М=90°т.к. СМ⊥МД по построению, ∠Д=45° -по условию,

∠МСД=90°-45°=45° ⇒ΔСМД -равнобедренный по признаку и МД=СМ=18 см.

АД=АМ+МД=9+18=27 (см).

S АВСД= (ВС+АМ):2*СМ=(9+27):2*18=36:2*18=18*18=324 (см²).

4,7(28 оценок)
Ответ:

ответ: 324 см².

Пошаговое объяснение:

Дано:АВСД-трапеция, ∠А=90°, ВС=9 см, АВ=18 см, ∠Д=45°.

Найти: S АВСД.

Проведём СМ⊥АД.

АВСМ- прямоугольник,т.к. ВС║АМ по свойству оснований трапеции, СМ║АВ по свойству двух перпендикуляров, проведённых к одной прямой, ∠А=90° по условию;  ⇒  СМ=АВ=18 см и АМ=ВС=9 см.

ΔСМД: ∠М=90°т.к. СМ⊥МД по построению, ∠Д=45° -по условию,

∠МСД=90°-45°=45° ⇒ΔСМД -равнобедренный по признаку и МД=СМ=18 см.

АД=АМ+МД=9+18=27 (см).

S АВСД= (ВС+АМ):2*СМ=(9+27):2*18=36:2*18=18*18=324 (см²).

4,4(10 оценок)
Это интересно:
Новые ответы от MOGZ: Математика
logo
Вход Регистрация
Что ты хочешь узнать?
Спроси Mozg
Открыть лучший ответ